图谱信息 供应商 相关产品
网站主页CAS数据库列表 94-71-3更多图谱邻乙氧基苯酚(94-71-3)红外图谱(IR1)

邻乙氧基苯酚

产品名称 邻乙氧基苯酚

CAS号94-71-3

分子式C8H10O2

分子量138.16

展开


  • Mass

    MS-NW-4809          
    o-ethoxyphenol
    C8H10O2             (Mass of molecular ion:    138)
    

       Source Temperature: 240 °C
       Sample Temperature: 180 °C
       Reservoir, 75 eV
    

          26.0       1.8
          27.0       9.6
          29.0       5.7
          38.0       1.5
          39.0       4.5
          43.0       1.4
          50.0       1.8
          51.0       3.3
          52.0       3.8
          53.0       4.9
          54.0       1.7
          55.0       1.7
          63.0       4.4
          64.0      10.9
          65.0       3.6
          81.0      12.2
          82.0       4.1
          92.0       6.4
          95.0       1.2
         109.0       8.3
         110.0     100.0
         111.0       6.7
         138.0      41.3
         139.0       3.6
    

90 MHz in CDCl3


  • 1H NMR 89.56 MHz
    C8 H10 O2 0.04 ml : 0.5 ml CDCl3
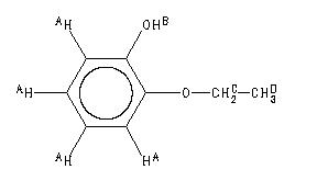
    o-ethoxyphenol
    ChemicalStructure
        Assign.     Shift(ppm)
    A 6.76 to 7.01 B 5.73 C 4.071 D 1.410

         Hz     ppm     Int.
    

        624.19   6.970     52
        620.63   6.930     82
        619.06   6.913    119
        618.19   6.903    101
        617.63   6.897     82
        616.44   6.883    242
        615.13   6.869    143
        614.25   6.859    112
        612.75   6.842    446
        611.50   6.828    576
        610.63   6.819    197
        608.19   6.791    397
        513.06   5.729    101
        512.63   5.724     98
        375.44   4.193    121
        368.31   4.113    410
        361.31   4.035    433
        354.44   3.958    145
        133.06   1.486    480
        126.13   1.409   1000
        119.13   1.331    424
    

in CDCl3



liquid film



4880 A,100M,liquid