-
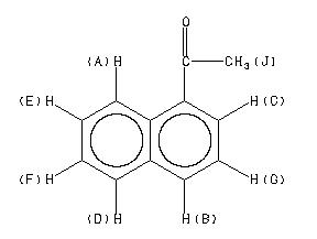
MS-NW-2226 1-acetonaphthone C12H10O (Mass of molecular ion: 170)
Source Temperature: 280 °C Sample Temperature: 170 °C Reservoir, 75 eV
15.0 1.2 39.0 1.6 43.0 8.4 50.0 2.9 51.0 5.2 62.0 1.8 63.0 6.6 63.5 5.4 64.0 1.1 74.0 3.9 75.0 5.8 76.0 2.9 77.0 8.6 77.5 1.9 78.0 1.0 85.0 1.9 86.0 1.1 87.0 1.6 98.0 1.2 101.0 5.6 102.0 1.4 115.0 2.7 126.0 10.5 127.0 86.3 128.0 15.7 129.0 1.2 139.0 1.9 141.0 2.1 155.0 100.0 156.0 12.1 169.0 1.2 170.0 53.2 171.0 7.1
90 MHz in CDCl3
400 MHz in CDCl3
-
1H NMR 89.56 MHz C12 H10 O 0.04 ml : 0.5 ml CDCl3 1-acetonaphthone 
Assign. Shift(ppm)
A 8.74 B 7.93 C 7.88 D 7.85 E *1 7.57 F *1 7.50 G 7.46 J 2.645 400MHZ : HSP-43-617
Hz ppm Int.788.25 8.802 41 787.50 8.793 31 785.81 8.775 40 780.06 8.710 32 779.19 8.701 50 778.38 8.692 51 710.81 7.937 60 705.00 7.872 80 703.63 7.857 114 702.69 7.847 124 697.69 7.791 121 696.19 7.774 90 692.81 7.736 74 682.63 7.623 30 677.88 7.570 77 675.75 7.546 61 673.94 7.526 91 670.94 7.492 167 668.06 7.460 131 666.50 7.442 61 664.63 7.422 58 660.19 7.372 90 652.81 7.290 48 237.06 2.647 1000 235.13 2.626 104
-
1H NMR 399.65 MHz C12 H10 O 0.05 ml : 0.5 ml CDCl3 1-acetonaphthone 
Assign. Shift(ppm)
A 8.755 B 7.886 C 7.822 D 7.783 E 7.541 F 7.458 G 7.380 J 2.645 ASSIGNED BY H-H COSY.
Hz ppm Int.3503.05 8.766 99 3494.38 8.744 103 3156.25 7.898 101 3148.07 7.878 112 3130.49 7.834 111 3129.27 7.831 113 3123.17 7.815 122 3122.07 7.813 120 3115.84 7.797 86 3115.11 7.795 92 3114.38 7.793 93 3107.67 7.776 102 3106.93 7.775 105 3106.20 7.773 104 3022.95 7.564 50 3021.48 7.561 55 3016.11 7.547 77 3014.53 7.543 102 3012.94 7.539 57 3007.45 7.526 74 3005.98 7.522 73 2988.04 7.477 76 2986.82 7.474 86 2981.20 7.460 60 2979.98 7.457 115 2978.76 7.454 84 2973.02 7.440 50 2971.92 7.437 53 2956.91 7.399 115 2949.71 7.381 118 2948.73 7.379 131 2941.53 7.361 99 1057.37 2.646 1000
更多供应商







