图谱信息 供应商 相关产品
网站主页CAS数据库列表 942-01-8更多图谱1,2,3,4-四氢咔唑(942-01-8)红外图谱(IR1)

1,2,3,4-四氢咔唑

产品名称 1,2,3,4-四氢咔唑

CAS号942-01-8

分子式C12H13N

分子量171.24

展开


  • Mass

    MS-NW-0108          
    1,2,3,4-tetrahydrocarbazole
    C12H13N             (Mass of molecular ion:    171)
    

       Source Temperature: 160 °C
       Sample Temperature:   0 °C
       Direct, 75 eV
    

          18.0       1.9
          39.0       1.3
          51.0       1.5
          58.5       1.7
          63.0       1.6
          65.0       1.3
          70.5       1.2
          71.5       2.4
          75.0       1.0
          76.0       1.0
          77.0       3.2
          77.5       1.6
          83.5       3.0
          84.5       1.4
          85.5       3.4
          89.0       1.4
         102.0       1.8
         115.0       6.7
         116.0       2.2
         117.0       1.3
         127.0       1.2
         128.0       3.4
         129.0       1.0
         130.0       2.7
         140.0       1.6
         141.0       1.3
         142.0       4.3
         143.0     100.0
         144.0      11.5
         154.0       3.0
         155.0       1.7
         166.0       1.4
         167.0       5.5
         168.0       8.0
         169.0       2.2
         170.0      23.9
         171.0      79.0
         172.0      10.3
    

400 MHz in CDCl3


  • 1H NMR 399.65 MHz
    C12 H13 N 16.9 mg : 0.5 ml CDCl3
    1,2,3,4-tetrahydrocarbazole
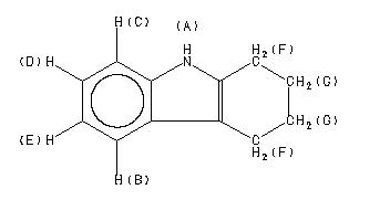
    ChemicalStructure
        Assign.     Shift(ppm)
    A 7.57 B 7.453 C 7.239 D 7.11 E 7.06 F 2.70 G 1.88

         Hz     ppm     Int.
    

       3035.52   7.596     36
       3035.03   7.595     37
       3034.67   7.594     40
       3033.94   7.592     45
       3033.45   7.591     46
       3032.47   7.588     51
       3031.98   7.587     54
       3031.49   7.586     57
       3029.17   7.580     77
       3028.44   7.578     84
       3027.59   7.576     87
       3026.61   7.574     92
       3026.12   7.572     90
       3025.63   7.571     93
       3024.54   7.568     90
       3024.17   7.568     89
       3023.56   7.566     87
       3022.71   7.564     80
       3021.12   7.560     70
       3020.02   7.557     63
       3018.07   7.552     52
       3017.70   7.551     49
       3016.48   7.548     41
       3015.01   7.545     37
       2983.40   7.466    273
       2982.79   7.464    282
       2982.06   7.462    233
       2979.49   7.456     44
       2978.76   7.454     39
       2978.27   7.453     40
       2975.95   7.447    298
       2975.34   7.445    298
       2974.49   7.443    307
       2971.80   7.437     38
       2898.44   7.253    278
       2897.71   7.251    296
       2896.85   7.249    357
       2890.87   7.234    325
       2889.77   7.231    449
       2889.28   7.230    429
       2888.55   7.228    365
       2885.74   7.221     47
       2847.78   7.126    159
       2846.44   7.123    189
       2840.70   7.108    406
       2839.23   7.105    367
       2835.45   7.095     43
       2833.25   7.090    382
       2831.67   7.086    712
       2830.08   7.082    563
       2826.54   7.073     48
       2824.10   7.067    438
       2822.88   7.064    491
       2820.80   7.059     43
       2817.02   7.049    211
       2815.67   7.046    186
       1088.75   2.725     40
       1086.55   2.719    141
       1084.96   2.715    375
       1084.23   2.713    346
       1082.52   2.709    392
       1080.44   2.704    482
       1078.00   2.698   1000
       1075.44   2.691    496
       1074.34   2.689    467
       1073.12   2.686    441
       1072.02   2.683    400
       1070.80   2.680    380
       1069.09   2.676    170
       1066.65   2.669     53
       1065.43   2.666     42
        772.71   1.934     77
        770.39   1.928     89
        767.70   1.921    126
        766.48   1.918    189
        764.16   1.913    251
        762.45   1.908    197
        760.50   1.903    262
        757.93   1.897    304
        756.59   1.894    340
        755.25   1.890    337
        753.42   1.886    353
        751.71   1.881    320
        750.24   1.878    352
        749.15   1.875    328
        748.54   1.873    335
        747.19   1.870    341
        745.97   1.867    328
        743.41   1.861    286
        742.19   1.858    222
        739.62   1.851    256
        737.30   1.845    196
        734.01   1.837     96
        733.52   1.836     96
        731.20   1.830     83
        730.22   1.828     56
    

in CDCl3



KBr disc