-
MS-IW-8671 methyl 3-indolecarboxylate C10H9NO2 (Mass of molecular ion: 175)
Source Temperature: 200 °C Sample Temperature: 150 °C Reservoir, 75 eV
39.0 1.7 57.5 1.1 58.0 3.6 62.0 2.2 63.0 3.8 72.0 4.8 87.0 1.1 87.5 1.9 88.0 2.2 89.0 12.0 90.0 2.0 114.0 1.3 115.0 3.1 116.0 17.1 117.0 3.6 130.0 1.0 143.0 2.0 144.0 100.0 145.0 10.6 146.0 2.7 175.0 53.3 176.0 6.2
400 MHz in DMSO-d6
-
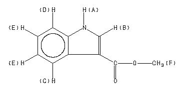
1H NMR 399.65 MHz C10 H9 N O2 0.041 g : 0.5 ml DMSO-d6 methyl 3-indolecarboxylate 
Assign. Shift(ppm)
A 12.0 B 8.133 C 8.057 D 7.526 E 7.22 F 3.835
Hz ppm Int.4791.09 11.989 64 3251.94 8.137 182 3249.19 8.131 179 3225.01 8.070 94 3221.53 8.061 61 3218.60 8.054 92 3216.22 8.048 94 3012.17 7.538 88 3010.16 7.532 91 3006.68 7.524 64 3003.56 7.516 111 2898.79 7.254 38 2893.48 7.241 114 2890.73 7.234 147 2887.44 7.225 204 2883.59 7.216 150 2881.58 7.211 115 2876.08 7.197 39 1532.74 3.836 1000
更多供应商






