
反式-4-甲氧基肉桂酸
产品名称
反式-4-甲氧基肉桂酸
CAS号943-89-5
分子式C10H10O3
分子量178.18
InChIInChI=1S/C10H10O3/c1-13-9-5-2-8(3-6-9)4-7-10(11)12/h2-7H,1H3,(H,11,12)/b7-4+
InChIKeyAFDXODALSZRGIH-QPJJXVBHSA-N
SmilesC(O)(=O)/C=C/C1=CC=C(OC)C=C1
展开
收起
-
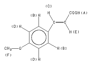
Assign. Shift(ppm)
A 12.
B 7.651
C 7.577
D 6.984
E 6.405
F 3.806
J(C,E)=16.0HZ
Spectral Code: 1H NMR : 400 MHz in DMSO-d6
-
ppm Int. Assign.
167.76 234 1
160.89 410 2
143.68 434 3
129.85 976 4
126.78 488 5
116.46 298 6
114.29 1000 7
55.22 517 8
Spectral Code: 13C NMR : in DMSO-d6
-
Spectral Code: IR : nujol mull
-
Spectral Code: Raman : 4880 A,200 M,powder
反式-4-甲氧基肉桂酸(943-89-5)核磁图(13CNMR) 相关产品图谱