图谱信息 供应商 相关产品
网站主页CAS数据库列表 94697-68-4更多图谱5,6-O-ISOPROPYLIDENE-L-GULONIC ACID GAMMA-LACTONE(94697-68-4)核磁图(13CNMR)

5,6-O-ISOPROPYLIDENE-L-GULONIC ACID GAMMA-LACTONE

产品名称 5,6-O-ISOPROPYLIDENE-L-GULONIC ACID GAMMA-LACTONE

CAS号94697-68-4

分子式C9H14O6

分子量218.2

展开


  • Mass

    MS-IW-9558          
    5,6-O-isopropylidene-L-gulonic acid gamma-lactone
    C9H14O6             (Mass of molecular ion:    218)
    

       Source Temperature: 180 °C
       Sample Temperature: 140 °C
       Direct, 75 eV
    

          15.0       6.6
          18.0       3.8
          19.0       2.3
          27.0       4.9
          28.0       4.5
          29.0       8.8
          30.0       2.1
          31.0       8.0
          39.0       5.3
          40.0       1.4
          41.0      11.9
          42.0      10.4
          43.0     100.0
          44.0       7.0
          45.0       3.2
          53.0       1.1
          55.0      14.9
          56.0       1.9
          57.0      13.9
          58.0       8.4
          59.0      26.9
          60.0       6.5
          61.0      11.7
          68.0       2.3
          69.0      13.6
          70.0       2.2
          71.0       5.4
          72.0      11.0
          73.0      13.3
          74.0       1.2
          83.0       4.3
          85.0      10.4
          86.0       3.9
          87.0       2.2
          97.0       9.4
          98.0       1.3
          99.0       3.0
         101.0      58.9
         102.0       3.6
         103.0       1.1
         113.0       2.2
         115.0      15.0
         116.0       2.0
         125.0      39.8
         126.0       2.9
         143.0       1.0
         144.0       1.0
         160.0       8.8
         161.0       1.5
         175.0       5.0
         203.0      60.8
         204.0       5.5
         205.0       1.0
    

400 MHz in DMSO-d6


  • 1H NMR 399.65 MHz
    C9 H14 O6 0.042 g : 0.5 ml DMSO-d6
    5,6-O-isopropylidene-L-gulonic acid gamma-lactone
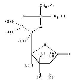
    ChemicalStructure
        Assign.     Shift(ppm)
    A 5.91 B 5.47 C 4.430 D 4.29 E 4.26 F 4.215 G *1 4.074 J *1 3.765 K *2 1.350 L *2 1.291 ASSIGNED BY H-H COSY.

         Hz     ppm     Int.
    

       2363.89   5.915    343
       2356.45   5.897    346
       2187.26   5.473    210
       2186.65   5.472    219
       2182.98   5.463    221
       1776.73   4.446    156
       1772.09   4.435    163
       1769.29   4.428    145
       1764.65   4.416    159
       1722.53   4.311     54
       1720.09   4.304     55
       1714.11   4.290    152
       1711.55   4.283    195
       1710.94   4.282    197
       1704.59   4.266    208
       1702.15   4.260     35
       1698.24   4.250    101
       1696.04   4.244     82
       1689.70   4.228    131
       1686.77   4.221     98
       1685.18   4.217    145
       1682.37   4.210    122
       1680.66   4.206     87
       1677.86   4.199     66
       1635.38   4.093    135
       1628.91   4.076    130
       1626.59   4.071    129
       1620.36   4.055    102
       1511.47   3.782    146
       1505.13   3.767    143
       1502.81   3.761    114
       1496.70   3.746    104
        539.67   1.351   1000
        516.11   1.292    984
    

in DMSO-d6



KBr disc



nujol mull