-
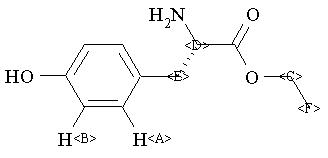
MS-NW-2482 L-tyrosine ethyl ester C11H15NO3 (Mass of molecular ion: 209)
Source Temperature: 190 °C Sample Temperature: 140 °C Direct, 75 eV
15.0 1.0 17.0 2.5 18.0 12.3 27.0 4.8 28.0 11.8 29.0 7.0 30.0 2.5 39.0 4.1 41.0 1.1 42.0 2.5 43.0 3.7 46.0 5.5 47.0 1.2 50.0 1.0 51.0 3.1 52.0 1.7 53.0 2.8 55.0 1.4 57.0 3.1 58.0 1.1 63.0 1.5 65.0 3.3 67.0 1.7 68.0 4.6 74.0 50.2 75.0 3.1 77.0 9.6 78.0 2.6 79.0 2.6 80.0 1.7 81.0 1.1 89.0 1.0 91.0 16.6 92.0 1.6 94.0 1.4 102.0 71.2 103.0 21.3 104.0 1.6 106.0 2.7 107.0 100.0 108.0 54.9 109.0 4.9 118.0 2.1 119.0 4.8 120.0 2.1 134.0 2.4 135.0 7.3 136.0 70.8 137.0 6.6 192.0 1.7 209.0 10.5 210.0 1.4
400 MHz in D2O
-
1H NMR 399.65 MHz C11 H15 N O3 saturated in D2O L-tyrosine ethyl ester 
Assign. Shift(ppm)
A 7.117 B 6.87 C 4.158 D 3.792 E 2.956 F 1.208
Hz ppm Int.2848.88 7.129 316 2846.80 7.124 104 2842.41 7.113 120 2840.33 7.108 370 2747.68 6.876 446 2745.48 6.870 130 2741.09 6.859 127 2739.01 6.854 370 1672.49 4.185 146 1665.41 4.168 453 1658.20 4.150 460 1651.00 4.132 149 1522.09 3.809 92 1515.63 3.793 215 1509.16 3.777 104 1184.69 2.965 300 1178.10 2.948 288 490.23 1.227 472 483.03 1.209 1000 475.95 1.191 483
更多供应商





