-
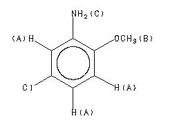
MS-NW-7089 5-chloro-o-anisidine C7H8ClNO (Mass of molecular ion: 157)
Source Temperature: 260 °C Sample Temperature: 190 °C Reservoir, 75 eV
15.0 2.1 27.0 1.2 28.0 5.4 37.0 1.7 38.0 2.9 38.5 2.5 39.0 3.1 39.5 1.7 41.0 1.6 49.0 1.4 50.0 4.7 51.0 13.6 52.0 10.4 53.0 3.2 54.0 1.1 61.0 1.9 62.0 2.9 63.0 6.2 64.0 2.1 65.0 3.0 73.0 2.7 75.0 1.6 76.0 2.7 77.0 1.5 78.0 12.2 79.0 4.7 86.0 1.0 87.0 4.2 88.0 1.0 89.0 1.9 90.0 3.4 91.0 1.4 92.0 1.2 93.0 3.8 99.0 4.3 101.0 1.3 114.0 44.7 115.0 3.6 116.0 14.4 117.0 1.2 126.0 2.2 127.0 1.0 128.0 1.2 142.0 100.0 143.0 7.5 144.0 32.1 145.0 2.5 157.0 66.6 158.0 6.0 159.0 21.8 160.0 2.0
90 MHz in CDCl3
更多供应商








