图谱信息 供应商 相关产品
网站主页CAS数据库列表 95-13-6更多图谱茚(95-13-6)核磁图(1HNMR)

产品名称

CAS号95-13-6

分子式C9H8

分子量116.16

展开


  • Mass

    MS-NW-0050          
    indene
    C9H8                (Mass of molecular ion:    116)
    

       Source Temperature: 210 °C
       Sample Temperature:  55 °C
       Reservoir, 75 eV
    

          38.0       1.5
          39.0       5.6
          50.0       3.2
          51.0       3.1
          57.0       1.0
          57.5       3.0
          58.0       2.6
          61.0       1.4
          62.0       4.1
          63.0       9.8
          64.0       1.3
          65.0       3.0
          74.0       1.9
          75.0       1.6
          86.0       1.6
          87.0       2.2
          88.0       1.8
          89.0      10.1
          90.0       1.2
         103.0       1.5
         113.0       2.2
         114.0       2.9
         115.0      79.3
         116.0     100.0
         117.0      12.4
         118.0       2.7
         119.0       1.3
    

400 MHz in CDCl3


  • 1H NMR 399.65 MHz
    C9 H8 22.1 mg : 0.5 ml CDCl3
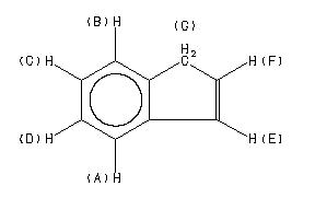
    indene
    ChemicalStructure
        Assign.     Shift(ppm)
    A 7.466 B 7.400 C 7.263 D 7.187 E 6.879 F 6.547 G 3.385 C WAS DECOUPLED BY IRRADIATION AT G. J(E,F)=5.5HZ. J(F,G)=1.9HZ. J(E,G)=2.0HZ. J(A,E)=0.7HZ.

         Hz     ppm     Int.
    

       2990.60   7.484     63
       2989.87   7.482    172
       2989.01   7.480    285
       2988.65   7.479    255
       2987.79   7.477    284
       2987.06   7.475    178
       2986.21   7.473     72
       2984.99   7.470     34
       2983.28   7.465     83
       2982.42   7.463    209
       2981.69   7.461    324
       2980.83   7.459    297
       2980.47   7.458    328
       2979.61   7.456    209
       2978.88   7.454     87
       2962.65   7.414    222
       2961.67   7.411    298
       2960.82   7.409    222
       2958.74   7.404     31
       2957.52   7.401     33
       2955.20   7.395    294
       2954.22   7.393    403
       2953.37   7.390    282
       2950.56   7.383     31
       2911.74   7.286     98
       2911.13   7.285    180
       2910.52   7.283    177
       2909.91   7.282    179
       2909.30   7.280     95
       2904.30   7.268    223
       2903.69   7.266    395
       2903.08   7.265    378
       2902.47   7.263    370
       2901.86   7.262    192
       2900.39   7.258     34
       2899.78   7.256     32
       2898.80   7.254     31
       2898.19   7.252     31
       2896.85   7.249    133
       2896.24   7.247    232
       2895.63   7.246    220
       2895.02   7.244    213
       2894.41   7.243    112
       2881.71   7.211     31
       2880.86   7.209     31
       2879.03   7.204    276
       2878.66   7.203    312
       2878.30   7.203    320
       2877.81   7.201    287
       2877.44   7.200    256
       2874.88   7.194     30
       2874.27   7.192     33
       2873.54   7.191     37
       2871.70   7.186    379
       2871.22   7.185    372
       2870.48   7.183    382
       2867.68   7.176     32
       2866.21   7.172     30
       2864.26   7.167    157
       2863.89   7.166    157
       2863.04   7.164    155
       2862.67   7.163    143
       2754.64   6.893    135
       2753.91   6.891    144
       2752.69   6.888    282
       2751.95   6.886    267
       2750.73   6.883    166
       2749.88   6.881    168
       2749.15   6.879    171
       2748.29   6.877    176
       2747.19   6.874    309
       2746.34   6.872    299
       2745.12   6.869    174
       2744.38   6.867    157
       2621.22   6.559    185
       2619.26   6.554    369
       2617.31   6.550    209
       2615.72   6.546    189
       2613.77   6.541    342
       2611.69   6.535    183
       1355.10   3.391    545
       1353.76   3.388    731
       1353.15   3.386   1000
       1352.42   3.385    701
       1351.20   3.381    560
       1350.46   3.380    369
       1346.44   3.370     42
    

in CDCl3



CCl4 solution



liquid film