图谱信息 供应商 相关产品
网站主页CAS数据库列表 95-14-7更多图谱苯并三氮唑(95-14-7)红外图谱(IR1)

苯并三氮唑

产品名称 苯并三氮唑

CAS号95-14-7

分子式C6H5N3

分子量119.12

展开


  • Mass

    MS-IW-1948          
    benzotriazole
    C6H5N3              (Mass of molecular ion:    119)
    

       Source Temperature: 110 °C
       Sample Temperature: 100 °C
       Direct, 75 eV
    

          18.0       3.5
          28.0       2.5
          37.0       4.2
          38.0       8.3
          39.0       7.4
          40.0       2.2
          41.0       7.2
          44.5       1.7
          45.5       2.1
          50.0       1.8
          51.0       2.7
          52.0      12.0
          61.0       2.4
          62.0       4.6
          63.0      23.6
          64.0      43.4
          65.0      11.3
          76.0       1.0
          90.0       3.1
          91.0      71.8
          92.0       5.2
         119.0     100.0
         120.0       7.9
    

parameter in acetone

90 MHz in CDCl3


  • 1H NMR 300 MHz
    C6 H5 N3 5 mol% in acetone
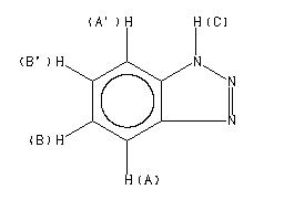
    benzotriazole
    ChemicalStructure
        Parameter     ppm  Hz
    D(A) 7.946 D(B) 7.468 J(A,A') 0.86 J(A,B) 8.25 J(A,B') 1.05 J(A',B) 1.05 J(A',B') 8.25 J(B,B') 7.02 D(C) 14.9 RONDEAU,R.E. ET AL. J.MOL.SPECTROSC. 26, 139 (1968)

         Hz     ppm     Int.
    

       4469.97  14.900   1000
       2393.22   7.977     36
       2391.71   7.972     50
       2388.61   7.962    477
       2385.45   7.951    403
       2382.43   7.941    376
       2379.34   7.931    542
       2376.18   7.921     61
       2374.73   7.916     46
       2249.51   7.498     46
       2248.14   7.494     61
       2244.98   7.483    542
       2241.82   7.473    376
       2238.79   7.463    403
       2235.70   7.452    477
       2232.54   7.442     50
       2231.03   7.437     36
    


  • 1H NMR 89.56 MHz
    C6 H5 N3 0.057 g : 0.5 ml CDCl3
    benzotriazole
    ChemicalStructure
        Assign.     Shift(ppm)
    A 16. B 7.946 C 7.393

         Hz     ppm     Int.
    

        720.11   8.041    100
        717.15   8.008    709
        714.07   7.974    648
        710.55   7.934    605
        707.69   7.902   1000
        704.50   7.867    181
        703.19   7.852    141
        670.87   7.491    112
        669.55   7.476    151
        666.36   7.441    991
        664.82   7.424    176
        663.28   7.406    600
        660.10   7.371    676
        657.02   7.337    754
        654.05   7.303    120
        652.40   7.285     93
    

in CDCl3



KBr disc



nujol mull