-
MS-IW-4326 2-methylindole C9H9N (Mass of molecular ion: 131)
Source Temperature: 230 °C Sample Temperature: 150 °C Reservoir, 75 eV
39.0 1.5 50.0 1.4 51.0 4.0 52.0 1.7 62.0 1.0 63.0 2.6 64.0 1.8 64.5 5.3 65.0 6.5 65.5 5.0 75.0 1.2 76.0 1.5 77.0 10.7 78.0 1.4 89.0 3.0 90.0 2.2 101.0 1.3 102.0 3.8 103.0 10.6 104.0 2.0 128.0 3.8 129.0 1.9 130.0 100.0 131.0 90.6 132.0 8.9
400 MHz in CDCl3
-
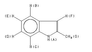
1H NMR 399.65 MHz C9 H9 N 16.9 mg : 0.5 ml CDCl3 2-methylindole 
Assign. Shift(ppm)
A 7.73 B 7.506 C 7.238 D 7.10 E 7.06 F 6.202 G 2.396
Hz ppm Int.3005.00 7.520 78 3004.52 7.518 83 2997.56 7.501 89 2997.07 7.500 88 2996.09 7.497 89 2896.97 7.249 76 2889.53 7.231 99 2847.17 7.125 46 2845.70 7.121 54 2840.09 7.107 109 2838.62 7.103 103 2832.40 7.088 101 2830.32 7.082 161 2828.74 7.079 146 2822.63 7.063 122 2821.41 7.060 134 2815.55 7.046 61 2814.33 7.042 53 2478.52 6.202 68 957.52 2.396 1000
更多供应商





