图谱信息 供应商 相关产品
网站主页CAS数据库列表 95-25-0更多图谱氯唑沙宗(95-25-0)红外图谱(IR2)

氯唑沙宗

产品名称 氯唑沙宗

CAS号95-25-0

分子式C7H4ClNO2

分子量169.57

展开


  • Mass

    MS-IW-0854          
    5-chloro-2-benzoxazolone
    C7H4ClNO2           (Mass of molecular ion:    169)
    

       Source Temperature: 150 °C
       Sample Temperature: 130 °C
       Direct, 75 eV
    

          28.0       1.2
          38.0       1.2
          38.5       2.8
          39.0       1.7
          50.0       2.7
          51.0       5.0
          52.0       2.4
          56.5       1.1
          62.0       2.0
          63.0       6.1
          70.5       1.1
          76.0       3.5
          77.0       1.2
          78.0      23.4
          79.0       2.3
          84.5       2.6
          86.0       1.3
          90.0       2.4
          98.0       2.2
         113.0      28.2
         114.0       2.4
         115.0       9.2
         125.0       2.2
         140.0       1.0
         169.0     100.0
         170.0       8.5
         171.0      32.6
         172.0       2.7
    

400 MHz in DMSO-d6


  • 1H NMR 399.65 MHz
    C7 H4 Cl N O2 0.033 g : 0.5 ml DMSO-d6
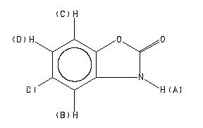
    5-chloro-2-benzoxazolone
    ChemicalStructure
        Assign.     Shift(ppm)
    A 12. B 7.309 C 7.158 D 7.125

         Hz     ppm     Int.
    

       2926.19   7.322    648
       2925.76   7.321    707
       2920.85   7.309     33
       2920.42   7.308     32
       2917.86   7.302    985
       2917.43   7.300    946
       2862.51   7.163    634
       2861.87   7.161    684
       2860.16   7.157   1000
       2859.73   7.156    966
       2856.31   7.148     39
       2855.89   7.146     43
       2852.68   7.138    944
       2850.33   7.133    551
       2847.55   7.126     36
       2847.13   7.125     36
       2844.14   7.117    773
       2842.00   7.112    625
    

in DMSO-d6



KBr disc



nujol mull