图谱信息 供应商 相关产品
网站主页CAS数据库列表 95-26-1更多图谱2.5-二甲基苯并噻唑(95-26-1)红外图谱(IR2)

2.5-二甲基苯并噻唑

产品名称 2.5-二甲基苯并噻唑

CAS号95-26-1

分子式C9H9NS

分子量163.24

展开


  • Mass

    MS-NW-4291          
    2,5-dimethylbenzothiazole
    C9H9NS              (Mass of molecular ion:    163)
    

       Source Temperature: 240 °C
       Sample Temperature: 170 °C
       Reservoir, 75 eV
    

          27.0       1.5
          38.0       1.0
          39.0       3.7
          45.0       4.8
          50.0       1.7
          51.0       4.3
          52.0       1.7
          59.0       1.7
          62.0       1.2
          63.0       3.5
          69.0       6.9
          70.0       1.7
          71.0       1.4
          77.0      10.8
          78.0      15.3
          79.0       1.6
          81.5       3.1
          82.0       1.7
          89.0       1.2
          91.0       1.1
          93.0       1.2
          95.0       1.2
         118.0       1.5
         121.0      37.1
         122.0      20.0
         123.0       3.6
         124.0       1.0
         130.0       3.4
         148.0       6.0
         162.0      32.1
         163.0     100.0
         164.0      11.9
         165.0       4.9
    

parameter in DMSO-d6

90 MHz in CDCl3


  • 1H NMR 300 MHz
    C9 H9 N S 5 mol% in DMSO-d6
    2,5-dimethylbenzothiazole
    ChemicalStructure
        Parameter     ppm  Hz
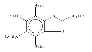
    D(A) 7.72 D(B) 7.21 D(C) 7.86 J(A,B) 1.67 J(A,C) 0.47 J(B,C) 8.26 D(D) 2.44 D(E) 2.77 KATRITZKY,A.R. & TAKEUCHI,Y. ORG.MAGN.RESON. 2, 569 (1970)

         Hz     ppm     Int.
    

       2362.23   7.874    133
       2353.96   7.847    140
       2316.80   7.723    152
       2315.24   7.717    155
       2167.88   7.226     96
       2166.26   7.221     94
       2159.61   7.199     88
       2158.00   7.193     86
        831.02   2.770   1000
        732.01   2.440   1000
    


  • 1H NMR 89.56 MHz
    C9 H9 N S 0.043 g : 0.5 ml CDCl3
    2,5-dimethylbenzothiazole
    ChemicalStructure
        Assign.     Shift(ppm)
    A 7.74 B 7.65 C 7.14 D 2.785 E 2.46

         Hz     ppm     Int.
    

        693.44   7.743     89
        692.69   7.735    104
        691.94   7.726     95
        689.38   7.698     94
        681.19   7.606    121
        643.38   7.184     59
        642.13   7.170     58
        635.25   7.094     42
        634.00   7.080     41
        249.44   2.786   1000
        220.56   2.463    524
    

in CDCl3



KBr disc



nujol mull