图谱信息 供应商 相关产品
网站主页CAS数据库列表 95-64-7更多图谱3,4-二甲基苯胺(95-64-7)红外图谱(IR2)

3,4-二甲基苯胺

产品名称 3,4-二甲基苯胺

CAS号95-64-7

分子式C8H11N

分子量121.18

展开


  • Mass

    MS-NW-1683          
    3,4-xylidine
    C8H11N              (Mass of molecular ion:    121)
    

       Source Temperature: 240 °C
       Sample Temperature: 180 °C
       Reservoir, 75 eV
    

          27.0       3.1
          28.0       3.8
          30.0       1.0
          38.0       1.2
          39.0       6.0
          41.0       3.1
          42.0       2.7
          50.0       1.9
          51.0       4.8
          52.0       3.3
          53.0       4.8
          54.0       1.9
          58.5       2.5
          59.5       2.3
          60.5       1.7
          63.0       2.0
          65.0       4.0
          66.0       1.7
          77.0      12.2
          78.0       3.6
          79.0       3.7
          80.0       2.6
          91.0       7.5
          92.0       1.8
          93.0       4.6
          94.0       1.7
         103.0       2.7
         104.0       2.4
         105.0       1.3
         106.0      55.3
         107.0       4.6
         117.0       1.0
         118.0       3.1
         119.0       2.8
         120.0      66.9
         121.0     100.0
         122.0       8.9
    

90 MHz in CDCl3


  • 1H NMR 89.56 MHz
    C8 H11 N 0.041 g : 0.5 ml CDCl3
    3,4-xylidine
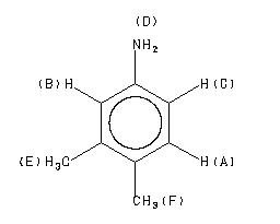
    ChemicalStructure
        Assign.     Shift(ppm)
    A 6.89 B 6.49 C 6.46 D 3.42 E *1 2.170 F *1 2.142

         Hz     ppm     Int.
    

        621.75   6.943     97
        614.19   6.858    137
        581.25   6.491    352
        578.56   6.461     60
        573.56   6.405     96
        571.13   6.378     60
        306.56   3.423    652
        194.38   2.171    887
        191.81   2.142   1000
    

in CDCl3



CCl4 solution



KBr disc



nujol mull