图谱信息 供应商 相关产品
网站主页CAS数据库列表 95-78-3更多图谱2,5-二甲基苯胺(95-78-3)核磁图(13CNMR)

2,5-二甲基苯胺

产品名称 2,5-二甲基苯胺

CAS号95-78-3

分子式C8H11N

分子量121.18

展开


  • Mass

    MS-NW-0567          
    2,5-xylidine
    C8H11N              (Mass of molecular ion:    121)
    

       Source Temperature: 280 °C
       Sample Temperature: 180 °C
       Reservoir, 75 eV
    

          18.0       1.2
          27.0       2.8
          28.0       3.3
          30.0       1.4
          38.0       1.3
          39.0       5.6
          41.0       2.6
          42.0       3.4
          50.0       1.9
          51.0       4.6
          52.0       2.9
          53.0       4.5
          54.0       1.6
          58.5       1.7
          59.5       1.7
          60.5       1.7
          63.0       1.8
          65.0       3.8
          66.0       1.5
          77.0      12.1
          78.0       5.8
          79.0       4.8
          80.0       2.3
          91.0       8.0
          92.0       2.0
          93.0       4.4
          94.0       1.5
         103.0       4.9
         104.0       5.3
         105.0       2.3
         106.0      53.3
         107.0       5.0
         118.0       2.3
         119.0       1.7
         120.0      54.0
         121.0     100.0
         122.0       9.4
    

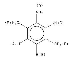
90 MHz in CDCl3


  • 1H NMR 89.56 MHz
    C8 H11 N 0.04 ml : 0.5 ml CDCl3
    2,5-xylidine
    ChemicalStructure
        Assign.     Shift(ppm)
    A 6.900 B 6.49 C 6.47 D 3.43 E 2.225 F 2.101

         Hz     ppm     Int.
    

        622.81   6.955    104
        615.19   6.870    156
        614.88   6.866    159
        585.75   6.541    142
        579.13   6.467    403
        578.81   6.463    393
        307.19   3.430    275
        199.69   2.230    951
        199.31   2.226    972
        188.13   2.101   1000
    

in CDCl3



CCl4 solution



liquid film