-
MS-NW-9063 2'-deoxyuridine C9H12N2O5 (Mass of molecular ion: 228)
Source Temperature: 190 °C Sample Temperature: 150 °C Direct, 75 eV
15.0 1.6 17.0 1.0 18.0 5.9 19.0 3.1 26.0 2.1 27.0 4.1 28.0 10.5 29.0 5.1 31.0 5.1 39.0 3.0 40.0 4.7 41.0 10.0 42.0 13.2 43.0 19.4 44.0 6.8 45.0 24.1 47.0 1.5 53.0 2.9 54.0 3.6 55.0 4.0 56.0 1.4 57.0 6.8 67.0 1.1 68.0 7.4 69.0 29.5 70.0 7.4 71.0 10.7 73.0 26.5 74.0 1.0 81.0 3.8 82.0 1.5 85.0 3.1 87.0 2.7 95.0 1.3 96.0 9.9 97.0 4.1 98.0 6.1 99.0 18.6 100.0 1.1 108.0 1.4 112.0 34.6 113.0 17.6 114.0 1.1 116.0 1.1 117.0 100.0 118.0 5.8 136.0 2.5 139.0 3.7 140.0 1.5 168.0 1.0 192.0 1.3 198.0 1.2 210.0 1.8 228.0 2.1
400 MHz in D2O
-
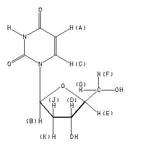
1H NMR 399.65 MHz C9 H12 N2 O5 0.039 g : 0.5 ml D2O 2'-deoxyuridine 
Assign. Shift(ppm)
A 7.866 B 6.280 C 5.885 D 4.473 E 4.060 F *1 3.846 G *1 3.775 J *2 2.42 K *2 2.38 The solvent peak suppressed. J(A,C)=8.1 Hz. J(B,J)=6.5 Hz. J(B,K)=6.5 Hz.
Hz ppm Int.3147.95 7.877 984 3139.89 7.857 1000 2516.72 6.298 440 2510.13 6.281 891 2503.42 6.265 444 2358.15 5.901 718 2350.10 5.881 702 1794.92 4.492 235 1790.89 4.482 470 1788.70 4.476 400 1787.11 4.472 390 1784.67 4.466 521 1780.64 4.456 268 1627.93 4.074 253 1624.15 4.064 539 1623.05 4.062 522 1619.26 4.052 636 1615.48 4.043 306 1547.24 3.872 336 1543.70 3.863 346 1534.79 3.841 720 1531.25 3.832 685 1515.50 3.793 690 1510.50 3.780 644 1503.05 3.761 344 1499.88 3.753 91 1497.92 3.749 312 985.23 2.466 127 980.96 2.455 150 978.64 2.449 163 974.37 2.439 171 970.95 2.430 418 966.80 2.420 436 964.48 2.414 470 959.47 2.401 579 952.51 2.384 670 945.80 2.367 422 938.35 2.348 233 931.64 2.332 132
更多供应商





