图谱信息 供应商 相关产品
网站主页CAS数据库列表 952-23-8更多图谱盐酸前黄素(952-23-8)红外图谱(IR2)

盐酸前黄素

产品名称 盐酸前黄素

CAS号952-23-8

分子式C13H12ClN3

分子量245.71

展开

400 MHz in DMSO-d6


  • 1H NMR 399.65 MHz
    C13 H11 N3 0.034 g : 0.5 ml DMSO-d6
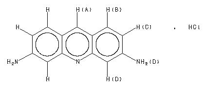
    3,6-acridinediamine hydrochloride
    ChemicalStructure
        Assign.     Shift(ppm)
    A 8.594 B 7.750 C 6.950 D 6.84

         Hz     ppm     Int.
    

       3434.57   8.594    450
       3101.93   7.762    554
       3092.90   7.740    590
       2791.02   6.984     26
       2790.41   6.983     28
       2789.43   6.980     34
       2782.84   6.964    381
       2781.37   6.960    389
       2773.93   6.941    369
       2772.46   6.938    378
       2766.24   6.922     40
       2734.38   6.842   1000
    

in DMSO-d6



KBr disc



nujol mull