-
MS-NW-2017 5-bromouridine C9H11BrN2O6 (Mass of molecular ion: 322)
Source Temperature: 220 °C Sample Temperature: 280 °C Direct, 75 eV
24.0 2.1 25.0 7.3 26.0 18.1 27.0 34.4 28.0 100.0 29.0 27.2 30.0 5.1 31.0 15.6 36.0 1.5 37.0 4.3 38.0 25.5 39.0 42.1 39.5 1.8 40.0 58.7 40.5 1.6 41.0 34.8 42.0 68.2 43.0 43.0 44.0 51.0 45.0 5.1 46.0 2.4 50.0 3.7 51.0 13.0 52.0 4.1 53.0 9.7 54.0 6.5 55.0 14.7 56.0 5.6 57.0 5.8 58.0 2.0 60.0 2.5 61.0 1.4 64.0 2.7 65.0 12.2 66.0 11.3 67.0 28.5 68.0 28.8 69.0 85.3 70.0 8.8 71.0 3.3 72.0 1.4 73.0 3.0 74.0 1.4 77.0 1.1 79.0 27.2 80.0 78.4 81.0 26.9 82.0 84.1 83.0 1.7 84.0 4.5 85.0 2.9 86.0 1.6 91.0 4.2 92.0 7.6 93.0 4.2 94.0 18.7 95.0 7.7 96.0 7.7 97.0 3.9 98.0 1.5 104.0 4.4 106.0 4.4 107.0 1.1 108.0 3.3 109.0 1.0 110.0 5.0 111.0 2.1 112.0 96.7 113.0 6.2 114.0 2.5 117.0 5.4 118.0 3.4 119.0 6.5 120.0 38.2 121.0 3.0 122.0 32.5 123.0 1.3 127.0 1.9 128.0 2.6 133.0 1.1 135.0 1.0 145.0 5.4 146.0 2.3 147.0 62.4 148.0 4.7 149.0 62.0 150.0 3.7 172.0 13.0 174.0 14.0 175.0 1.4 176.0 1.2 190.0 47.6 191.0 2.9 192.0 48.1 193.0 2.7
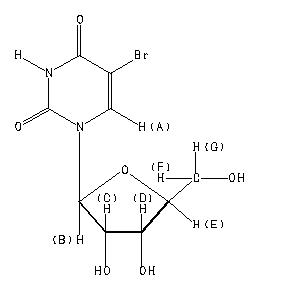
400 MHz in D2O
-
1H NMR 399.65 MHz C9 H11 Br N2 O6 0.037 g : 0.5 ml D2O 5-bromouridine 
Assign. Shift(ppm)
A 8.384 B 5.875 C 4.338 D 4.256 E 4.142 F *1 3.972 G *1 3.845 THE SOLVENT PEAK SUPPRESSED. J(B,C)=3.6 HZ.
Hz ppm Int.3355.22 8.396 43 3350.95 8.385 1000 2349.73 5.880 444 2346.19 5.871 478 1737.43 4.348 200 1732.42 4.335 338 1728.64 4.326 275 1706.67 4.271 226 1700.68 4.256 364 1695.31 4.242 215 1661.99 4.159 128 1658.81 4.151 259 1656.01 4.144 251 1652.95 4.136 223 1650.02 4.129 136 1597.05 3.997 170 1594.36 3.990 185 1584.11 3.964 273 1581.54 3.958 290 1545.04 3.866 258 1541.50 3.858 270 1532.10 3.834 168 1528.69 3.826 168
更多供应商






