-
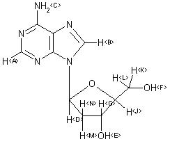
MS-NW-2025 2'-deoxyadenosine C10H13N5O3 (Mass of molecular ion: 251)
Source Temperature: 190 °C Sample Temperature: 190 °C Direct, 75 eV
15.0 2.1 17.0 1.2 18.0 6.4 19.0 1.8 26.0 1.5 27.0 7.6 28.0 18.9 29.0 8.0 30.0 2.1 31.0 5.2 38.0 2.3 39.0 7.7 40.0 2.9 41.0 4.9 42.0 3.6 43.0 10.2 44.0 6.4 45.0 7.9 47.0 1.3 52.0 1.2 53.0 6.2 54.0 10.3 55.0 5.1 56.0 2.2 57.0 4.3 65.0 1.7 66.0 5.5 67.0 2.4 67.5 1.1 68.0 4.5 69.0 4.1 70.0 5.2 71.0 3.0 73.0 7.7 80.0 2.6 81.0 10.7 82.0 1.0 92.0 1.5 93.0 1.0 97.0 3.6 98.0 4.5 99.0 2.1 107.0 1.4 108.0 23.8 109.0 1.8 117.0 2.5 119.0 1.5 134.0 2.5 135.0 100.0 136.0 15.9 137.0 1.0 161.0 1.0 162.0 10.4 163.0 1.1 164.0 4.2 221.0 1.3
400 MHz in DMSO-d6
-
1H NMR 399.65 MHz C10 H13 N5 O3 0.037 g : 0.5 ml DMSO-d6 2'-deoxyadenosine 
Assign. Shift(ppm)
A 8.336 B 8.132 C 7.31 D 6.344 E 5.31 F 5.25 G 4.411 J 3.884 K *1 3.620 L *1 3.526 M *2 2.728 N *2 2.264
Hz ppm Int.3331.67 8.337 1000 3250.37 8.134 996 2922.24 7.312 431 2542.60 6.363 165 2536.50 6.347 207 2534.67 6.343 208 2528.56 6.327 160 2124.88 5.317 331 2123.41 5.314 261 2120.85 5.307 329 2119.51 5.304 232 2104.37 5.266 136 2102.91 5.262 116 2099.49 5.254 167 2097.78 5.250 242 2096.07 5.245 130 2092.77 5.237 128 2091.31 5.233 89 1764.53 4.416 151 1557.62 3.898 104 1555.18 3.892 130 1553.59 3.888 226 1551.03 3.881 216 1549.56 3.878 136 1546.88 3.871 96 1459.47 3.652 79 1454.71 3.640 125 1450.20 3.629 89 1447.63 3.623 140 1443.12 3.611 200 1442.87 3.611 200 1438.48 3.600 106 1419.07 3.551 122 1414.92 3.541 128 1412.48 3.535 129 1408.08 3.524 142 1402.95 3.511 73 1400.51 3.505 79 1396.36 3.494 69 1103.88 2.763 84 1098.14 2.748 98 1095.83 2.742 95 1090.58 2.729 163 1084.96 2.715 96 1082.64 2.709 110 1077.15 2.696 86 912.48 2.284 104 909.67 2.277 104 906.49 2.269 109 903.69 2.262 110 899.29 2.251 96 896.48 2.244 95 893.19 2.235 85 890.50 2.229 80
更多供应商






