图谱信息 供应商 相关产品
网站主页CAS数据库列表 96-09-3更多图谱氧化苯乙烯(96-09-3)红外图谱(IR1)

氧化苯乙烯

产品名称 氧化苯乙烯

CAS号96-09-3

分子式C8H8O

分子量120.15

展开


  • Mass

    MS-NW-0437          
    (1,2-epoxyethyl)benzene
    C8H8O               (Mass of molecular ion:    120)
    

       Source Temperature: 240 °C
       Sample Temperature: 120 °C
       Reservoir, 75 eV
    

          27.0       1.3
          29.0       1.3
          37.0       1.0
          38.0       2.6
          39.0      10.7
          40.0       1.3
          41.0       1.9
          43.0       1.6
          50.0       4.8
          51.0       8.8
          52.0       1.7
          61.0       1.3
          62.0       3.4
          63.0       9.7
          64.0       3.9
          65.0      15.0
          66.0       1.0
          74.0       1.6
          75.0       1.0
          77.0       4.0
          78.0       1.3
          89.0      26.8
          90.0      34.7
          91.0     100.0
          92.0      29.8
          93.0       2.0
         104.0       1.5
         105.0       1.7
         119.0      21.2
         120.0      35.9
         121.0       3.2
    

90 MHz in CDCl3


  • 1H NMR 89.56 MHz
    C8 H8 O 0.05 ml : 0.5 ml CDCl3
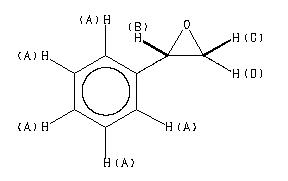
    (1,2-epoxyethyl)benzene
    ChemicalStructure
        Assign.     Shift(ppm)
    A 7.28 B 3.817 C 3.091 D 2.758 J(B,C)=4.1HZ J(B,D)=2.6HZ J(C,D)=5.5HZ

         Hz     ppm     Int.
    

        661.06   7.382     29
        659.63   7.366     36
        654.50   7.308    251
        652.38   7.285   1000
        648.25   7.239    109
        645.75   7.211     60
        645.00   7.202     78
        643.13   7.181     53
        345.31   3.856     99
        342.75   3.828    115
        341.25   3.811    117
        338.69   3.782    109
        282.06   3.150    103
        277.94   3.104    107
        276.50   3.088    147
        272.44   3.042    127
        250.56   2.798    149
        248.00   2.770    143
        245.06   2.737    108
        242.50   2.708     98
    

in CDCl3



CCl4 solution



liquid film



4880 A,150M,liquid