图谱信息 供应商 相关产品
网站主页CAS数据库列表 96-66-2更多图谱4,4'-硫联二(6-叔丁基-2-甲基苯酚)(96-66-2)核磁图(13CNMR)

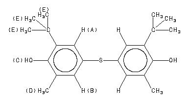
4,4'-硫联二(6-叔丁基-2-甲基苯酚)

产品名称 4,4'-硫联二(6-叔丁基-2-甲基苯酚)

CAS号96-66-2

分子式C22H30O2S

分子量358.54

展开


  • Mass

    MS-NW-8294          
    4,4'-thiobis(2-tert-butyl-6-methylphenol)
    C22H30O2S           (Mass of molecular ion:    358)
    

       Source Temperature: 180 °C
       Sample Temperature: 110 °C
       Direct, 75 eV
    

          29.0       1.3
          39.0       1.3
          41.0       3.8
          57.0       6.2
          59.0       1.6
          77.0       1.8
          91.0       2.3
         105.0       1.4
         115.0       2.1
         117.0       1.5
         119.0       1.2
         121.0       1.4
         128.0       1.9
         129.0       2.2
         130.0       1.4
         135.0       1.1
         136.0      14.8
         136.5       2.5
         137.0       1.5
         139.0       1.6
         147.0       1.7
         149.0       1.2
         150.0       7.3
         150.5       1.4
         151.0       3.2
         152.0       1.8
         153.0       1.3
         161.0       1.5
         164.0       6.6
         164.5       1.3
         165.0       1.6
         171.5       3.6
         179.0       7.2
         180.0       2.6
         181.0       1.4
         195.0      12.5
         196.0       2.2
         287.0       2.7
         302.0       2.5
         315.0       2.6
         343.0      18.5
         344.0       4.6
         345.0       1.4
         357.0       1.5
         358.0     100.0
         359.0      25.2
         360.0       7.9
         361.0       1.4
    

400 MHz in CDCl3


  • 1H NMR 399.65 MHz
    C22 H30 O2 S 0.037 g : 0.5 ml CDCl3
    4,4'-thiobis(2-tert-butyl-6-methylphenol)
    ChemicalStructure
        Assign.     Shift(ppm)
    A 7.173 B 6.993 C 4.78 D 2.180 E 1.365

         Hz     ppm     Int.
    

       2867.92   7.177     67
       2865.72   7.171     68
       2796.14   6.997     66
       2795.65   6.996     68
       2793.95   6.991     64
       2793.33   6.990     60
       1909.91   4.779    150
        871.46   2.181    344
        545.90   1.366   1000
    

in CDCl3



KBr disc



nujol mull