-
MS-NW-1860 2,4-di-tert-butylphenol C14H22O (Mass of molecular ion: 206)
Source Temperature: 240 °C Sample Temperature: 180 °C Reservoir, 75 eV
27.0 2.3 29.0 7.6 39.0 4.9 41.0 15.9 51.0 2.6 52.0 1.0 53.0 1.9 55.0 2.4 57.0 32.5 58.0 1.4 60.0 2.4 63.0 1.3 64.0 1.1 65.0 2.6 66.0 1.7 73.0 3.0 74.0 5.8 77.0 4.3 78.0 1.0 79.0 1.9 88.0 2.1 91.0 5.7 103.0 1.3 105.0 2.2 107.0 3.8 115.0 4.0 116.0 1.4 117.0 1.9 119.0 1.5 121.0 1.5 128.0 2.2 129.0 1.3 131.0 1.2 133.0 1.9 135.0 2.6 147.0 2.3 149.0 1.0 161.0 2.1 163.0 5.0 175.0 4.2 191.0 100.0 192.0 14.4 193.0 1.2 206.0 15.6 207.0 2.4
90 MHz in CDCl3
-
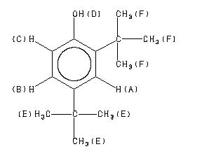
1H NMR 89.56 MHz C14 H22 O 0.047 g : 0.5 ml CDCl3 2,4-di-tert-butylphenol 
Assign. Shift(ppm)
A 7.295 B 7.060 C 6.568 D 4.60 E *1 1.414 F *1 1.290 J(A,B)=2.4HZ J(B,C)=8.2HZ
Hz ppm Int.654.81 7.312 29 652.38 7.285 36 638.13 7.126 27 629.94 7.034 34 627.50 7.007 29 591.56 6.606 52 583.38 6.514 36 412.38 4.605 55 126.69 1.415 828 117.44 1.312 25 115.56 1.291 1000 113.69 1.270 48
更多供应商






