图谱信息 供应商 相关产品
网站主页CAS数据库列表 97-63-2更多图谱甲基丙烯酸乙酯(97-63-2)红外图谱(IR1)

甲基丙烯酸乙酯

产品名称 甲基丙烯酸乙酯

CAS号97-63-2

分子式C6H10O2

分子量114.14

展开


  • Mass

    MS-NW-4267          
    ethyl methacrylate
    C6H10O2             (Mass of molecular ion:    114)
    

       Source Temperature: 250 °C
       Sample Temperature: 180 °C
       Reservoir, 75 eV
    

          15.0       3.1
          26.0       2.7
          27.0      11.7
          28.0       1.9
          29.0      35.0
          30.0       1.0
          31.0       1.3
          37.0       1.2
          38.0       2.7
          39.0      28.5
          40.0       9.8
          41.0      96.4
          42.0       9.6
          43.0       3.6
          45.0      10.2
          55.0       2.6
          57.0       1.3
          58.0       3.8
          68.0       5.0
          69.0     100.0
          70.0       8.8
          71.0       2.7
          85.0       1.8
          86.0      20.2
          87.0       2.7
          96.0       2.7
          99.0      13.5
         113.0       1.7
         114.0      12.1
    

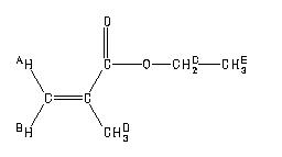
90 MHz in CDCl3


  • 1H NMR 89.56 MHz
    C6 H10 O2 0.04 ml : 0.5 ml CDCl3
    ethyl methacrylate
    ChemicalStructure
        Assign.     Shift(ppm)
    A 6.097 B 5.543 C 4.205 D 1.943 E 1.304 J(A,B)=1.7HZ J(A,D)=-1.0HZ J(B,D)=-1.6HZ

         Hz     ppm     Int.
    

        548.50   6.125     50
        547.50   6.114    145
        546.50   6.103    170
        545.75   6.094    177
        544.75   6.083    158
        543.75   6.072     55
        499.69   5.580     46
        498.13   5.562    168
        496.44   5.544    239
        494.81   5.525    166
        493.19   5.507     46
        387.44   4.327    112
        380.25   4.246    453
        373.13   4.167    474
        366.06   4.088    133
        175.38   1.959    592
        174.38   1.948    675
        173.81   1.941    688
        172.81   1.930    635
        123.69   1.382    462
        116.69   1.303   1000
        109.50   1.223    406
    

in CDCl3



CCl4 solution



liquid film



4880 A,200 M,liquid