图谱信息 供应商 相关产品
网站主页CAS数据库列表 97674-02-7更多图谱三丁基(1-乙氧基乙烯)锡(97674-02-7)质谱(MS)

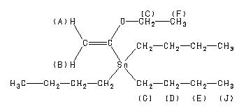
三丁基(1-乙氧基乙烯)锡

产品名称 三丁基(1-乙氧基乙烯)锡

CAS号97674-02-7

分子式C16H34OSn

分子量361.15


  • Mass

    MS-NW-9651          
    tributyl(1-ethoxyvinyl)stannane
    C16H34OSn           (Mass of molecular ion:    362)
    

       Source Temperature: 260 °C
       Sample Temperature: 150 °C
       Reservoir, 75 eV
    

          27.0       3.6
          28.0       2.4
          29.0       8.4
          31.0       1.6
          39.0       2.2
          41.0       7.8
          42.0       1.0
          43.0       5.5
          44.0       1.4
          45.0       1.6
          55.0       2.0
          56.0       2.9
          57.0       4.7
          73.0       2.0
         116.0       2.5
         117.0      10.9
         118.0       8.9
         119.0      20.0
         120.0      12.1
         121.0      26.1
         122.0       2.3
         123.0       9.2
         125.0       4.8
         127.0      11.4
         128.0       1.0
         131.0       1.5
         132.0       1.0
         133.0       2.9
         134.0       1.5
         135.0       4.0
         137.0       1.7
         143.0       1.3
         145.0       3.3
         146.0       1.3
         147.0       4.2
         148.0       1.2
         149.0       4.4
         151.0       1.3
         159.0       1.6
         161.0       9.3
         162.0       4.6
         163.0      14.6
         164.0       5.3
         165.0      18.9
         167.0       4.3
         169.0       3.9
         171.0       3.5
         172.0       1.0
         173.0      10.5
         174.0       6.2
         175.0      46.0
         176.0      24.0
         177.0      70.5
         178.0      22.6
         179.0      75.2
         180.0       3.7
         181.0      13.5
         183.0      13.0
         187.0       1.3
         189.0       9.4
         190.0       5.4
         191.0      15.5
         192.0       5.7
         193.0      18.5
         195.0       3.3
         197.0       3.8
         199.0       2.4
         200.0       1.3
         201.0       4.3
         202.0       1.9
         203.0       5.9
         204.0       1.1
         205.0       2.7
         207.0       1.6
         219.0       4.7
         220.0       2.5
         221.0       7.1
         222.0       2.8
         223.0       8.9
         225.0       1.4
         227.0       3.2
         229.0       1.8
         230.0       6.3
         231.0      28.8
         232.0      24.5
         233.0      47.0
         234.0      30.7
         235.0      58.2
         236.0       6.9
         237.0       8.6
         238.0       3.0
         239.0      10.5
         240.0       1.0
         241.0       3.0
         243.0       3.2
         244.0       2.0
         245.0      44.7
         246.0      27.2
         247.0      76.3
         248.0      32.4
         249.0     100.0
         250.0       8.9
         251.0      15.1
         252.0       1.4
         253.0      17.9
         254.0       1.9
         255.0       3.0
         256.0       1.6
         257.0       4.4
         258.0       1.6
         259.0       4.5
         261.0       1.4
         263.0       1.2
         275.0       5.2
         276.0       3.2
         277.0       8.4
         278.0       3.8
         279.0      10.7
         280.0       1.2
         281.0       1.7
         283.0       2.4
         287.0       9.0
         288.0       6.2
         289.0      15.4
         290.0       7.6
         291.0      20.3
         292.0       2.7
         293.0       3.0
         295.0       3.6
         297.0       2.7
         299.0       1.9
         300.0       1.3
         301.0      39.0
         302.0      27.6
         303.0      69.2
         304.0      35.2
         305.0      91.3
         306.0      16.5
         307.0      13.5
         308.0       2.4
         309.0      16.3
         310.0       3.4
         311.0       4.1
         312.0       1.9
         313.0       5.6
         314.0       1.3
         315.0       3.7
         317.0       1.1
    

400 MHz in CDCl3


  • 1H NMR 399.65 MHz
    C16 H34 O Sn 0.05 ml : 0.5 ml CDCl3
    tributyl(1-ethoxyvinyl)stannane
    ChemicalStructure
        Assign.     Shift(ppm)
    A *1 4.672 B *1 4.041 C 3.693 D 1.53 E 1.324 F 1.252 G 0.943 J 0.892

         Hz     ppm     Int.
    

       1868.16   4.675     91
       1866.46   4.671     95
       1616.09   4.044    117
       1614.38   4.040    117
       1486.33   3.720     51
       1479.37   3.702    145
       1472.41   3.685    147
       1465.45   3.667     51
        547.36   1.370     63
        540.04   1.352    163
        532.71   1.333    227
        524.90   1.314    230
        517.82   1.296    148
        510.62   1.278     58
        507.45   1.270    192
        500.49   1.253    361
        493.53   1.235    184
        384.77   0.963    310
        382.32   0.957     43
        379.15   0.949    132
        377.93   0.946    142
        376.59   0.943    260
        375.12   0.939    172
        372.44   0.932     52
        368.53   0.923    290
        363.65   0.910    550
        356.32   0.892   1000
        352.66   0.883     55
        349.12   0.874    501
    

in CDCl3



liquid film