图谱信息 供应商 相关产品
网站主页CAS数据库列表 99-10-5更多图谱3,5-二羟基苯甲酸(99-10-5)红外图谱(IR2)

3,5-二羟基苯甲酸

产品名称 3,5-二羟基苯甲酸

CAS号99-10-5

分子式C7H6O4

分子量154.12

展开


  • Mass

    MS-NW-1782          
    3,5-dihydroxybenzoic acid
    C7H6O4              (Mass of molecular ion:    154)
    

       Source Temperature: 210 °C
       Sample Temperature: 160 °C
       Direct, 75 eV
    

          18.0       2.9
          26.0       1.7
          27.0       7.2
          28.0       3.0
          29.0       3.5
          37.0       2.3
          38.0       4.6
          39.0       7.0
          40.0       1.1
          41.0       2.9
          42.0       2.2
          43.0       2.2
          44.0       1.7
          45.0       2.1
          49.0       1.1
          50.0       4.0
          51.0       7.5
          52.0       5.0
          53.0       7.5
          54.0       2.5
          55.0       3.3
          61.0       1.6
          62.0       2.8
          63.0       6.4
          64.0       1.2
          66.0       1.4
          68.5       1.3
          69.0      19.3
          71.0       1.0
          79.0       2.4
          80.0       3.3
          81.0      13.2
          82.0       1.5
          97.0       2.8
         108.0       5.3
         109.0      26.1
         110.0       2.3
         125.0       1.7
         126.0       3.7
         136.0       2.7
         137.0      57.5
         138.0       4.6
         154.0     100.0
         155.0       8.1
         156.0       1.1
    

90 MHz in DMSO-d6


  • 1H NMR 89.56 MHz
    C7 H6 O4 0.036 g : 0.5 ml DMSO-d6
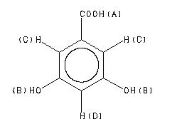
    3,5-dihydroxybenzoic acid
    ChemicalStructure
        Assign.     Shift(ppm)
    A 12.6 B 9.6 C 6.845 D 6.457 J(C,D)=2.3HZ

         Hz     ppm     Int.
    

        855.69   9.555     58
        614.21   6.859    900
        611.90   6.833   1000
        580.37   6.481    259
        578.15   6.456    425
        575.84   6.430    204
    

in DMSO-d6



KBr disc



nujol mull