图谱信息 供应商 相关产品
网站主页CAS数据库列表 99-21-8更多图谱紫罗兰B(99-21-8)红外图谱(IR2)

紫罗兰B

产品名称 紫罗兰B

CAS号99-21-8

分子式C15H16N2O2

分子量256.3


  • Mass

    MS-NW-8265          
    Fast Violet B base
    C15H16N2O2          (Mass of molecular ion:    256)
    

       Source Temperature: 190 °C
       Sample Temperature: 140 °C
       Direct, 75 eV
    

          28.0       1.4
          39.0       1.1
          41.0       1.3
          42.0       1.0
          51.0       3.9
          53.0       1.2
          65.0       1.0
          66.0       1.3
          67.0       1.0
          68.0       1.2
          77.0      24.8
          78.0       2.0
          80.0       2.3
          81.0       1.6
          92.0       1.0
         105.0      43.5
         106.0       4.0
         107.0       1.4
         108.0       3.0
         109.0       9.1
         110.0       1.3
         124.0       1.4
         135.0       2.2
         136.0      10.6
         137.0       1.1
         138.0       3.1
         151.0     100.0
         152.0      10.5
         153.0       7.8
         241.0       1.4
         256.0      72.1
         257.0      12.5
         258.0       1.3
    

400 MHz in DMSO-d6


  • 1H NMR 399.65 MHz
    C15 H16 N2 O2 0.038 g : 0.5 ml DMSO-d6
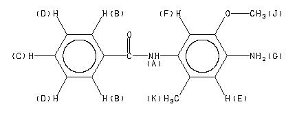
    fast violet b base
    ChemicalStructure
        Assign.     Shift(ppm)
    A 9.65 B 7.979 C 7.554 D 7.502 E 6.740 F 6.530 G 4.64 J 3.723 K 2.047

         Hz     ppm     Int.
    

       3855.29   9.647    169
       3194.12   7.993    205
       3187.26   7.976    228
       3185.73   7.972    180
       3028.72   7.579     34
       3021.39   7.561    120
       3019.10   7.555     41
       3015.59   7.546     70
       3014.22   7.543    114
       3012.85   7.539     68
       3004.76   7.519    183
       2998.66   7.504    123
       2997.13   7.500    229
       2991.79   7.487     45
       2990.26   7.483     93
       2988.89   7.479     63
       2693.79   6.741    298
       2610.02   6.531    280
       1854.55   4.641    274
       1488.04   3.724   1000
        818.18   2.048    877
    

in DMSO-d6



KBr disc



nujol mull