产品名称 Tri(2-furyl)phosphine selenide
CAS号
分子式C12H9O3PSe
分子量311.131821
InChIInChI=1S/C12H9O3PSe/c17-16(10-4-1-7-13-10,11-5-2-8-14-11)12-6-3-9-15-12/h1-9H
InChIKeyWEZSWRVQNUBBKW-UHFFFAOYSA-N
SmilesP(=[Se])(C1=CC=CO1)(C1=CC=CO1)C1=CC=CO1
展开 收起
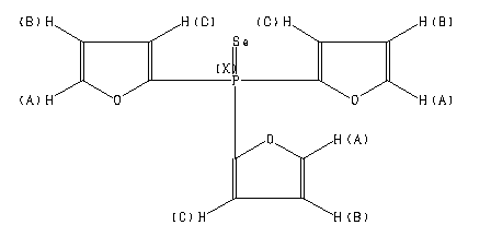
Parameter ppm Hz D(A) 7.713 D(B) 6.503 D(C) 7.192 J(A,B) 1.716 J(A,C) 0.791 J(A,X) 2.315 J(B,C) 3.450 J(B,X) 1.723 J(C,X) 2.564 JAKOBSEN,H.J. & NIELSEN,J.AA. J.MOL.SPECTROSC. 33, 474 (1970)
更多供应商
相关产品图谱