产品名称 Tri(3-furyl)phosphine selenide
CAS号
分子式C12H9O3PSe
分子量311.131821
InChIInChI=1S/C12H9O3PSe/c17-16(10-1-4-13-7-10,11-2-5-14-8-11)12-3-6-15-9-12/h1-9H
InChIKeyGDXNSERUZRWLLX-UHFFFAOYSA-N
SmilesP(=[Se])(C1C=COC=1)(C1C=COC=1)C1C=COC=1
展开 收起
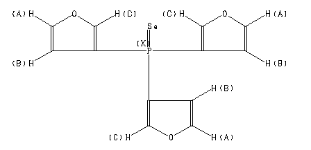
Parameter ppm Hz D(A) 7.736 D(B) 6.568 D(C) 7.555 J(A,B) 0.874 J(A,C) 1.567 J(A,X) 2.943 J(B,C) 1.872 J(B,X) 3.765 J(C,X) 1.821 JAKOBSEN,H.J. J.MOL.SPECTROSC. 38, 243 (1971)
更多供应商