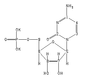
CYTIDINE-5'-MONOPHOSPHATE DIPOTASSIUM SALT
产品名称
CYTIDINE-5'-MONOPHOSPHATE DIPOTASSIUM SALT
CAS号
分子式C9H12K2N3O8P
分子量399.38
InChIInChI=1S/C9H14N3O8P.2K/c10-5-1-2-12(9(15)11-5)8-7(14)6(13)4(20-8)3-19-21(16,17)18;;/h1-2,4,6-8,13-14H,3H2,(H2,10,11,15)(H2,16,17,18);;/q;2*+1/p-2/t4-,6-,7-,8-;;/m1../s1
InChIKeyKJFHSFLOUJGHLS-WFIJOQBCSA-L
Smiles[C@@H]1([C@H](O)[C@@H]([C@@H](COP([O-])([O-])=O)O1)O)N1C=CC(N)=NC1=O.[K+].[K+]
展开
收起