图谱信息 供应商 相关产品
网站主页CAS数据库列表 更多图谱

DL-色氨酸乙酯盐酸盐

产品名称 DL-色氨酸乙酯盐酸盐

CAS号

分子式C13H17ClN2O2

分子量268.74

展开


  • Mass

    MS-NW-0478          
    DL-tryptophan ethyl ester hydrochloride
    C13H16N2O2 HCl      (Mass of molecular ion:    232)
    

       Source Temperature: 180 °C
       Sample Temperature: 130 °C
       Direct, 75 eV
    

          28.0       2.5
          29.0       1.5
          30.0       1.7
          36.0       5.9
          38.0       1.9
          74.0       1.9
          77.0       4.4
          79.5       1.6
         102.0       2.3
         103.0       3.8
         117.0       1.9
         129.0       1.8
         130.0     100.0
         131.0      12.3
         132.0       2.7
         158.0       2.5
         159.0       7.8
         160.0       1.0
         232.0       9.9
         233.0       1.6
    

400 MHz in DMSO-d6


  • 1H NMR 399.65 MHz
    C13 H16 N2 O2 0.040 g : 0.5 ml DMSO-d6
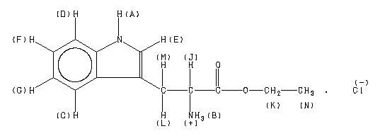
    DL-tryptophan ethyl ester hydrochloride
    ChemicalStructure
        Assign.     Shift(ppm)
    A 11.2 B 8.8 C 7.554 D 7.389 E 7.276 F 7.088 G 7.006 J 4.146 K 4.05 L *1 3.394 M *1 3.294 N 1.058

         Hz     ppm     Int.
    

       4487.58  11.229    162
       4485.75  11.225    165
       3514.42   8.794    207
       3022.98   7.565    172
       3015.29   7.545    188
       2957.41   7.401    207
       2949.35   7.380    240
       2909.42   7.280    261
       2907.04   7.274    261
       2841.65   7.111     83
       2840.55   7.108     95
       2833.59   7.091    188
       2826.63   7.073    116
       2825.53   7.071    120
       2807.39   7.025    123
       2806.66   7.023    137
       2799.52   7.005    196
       2798.78   7.004    167
       2792.56   6.988     87
       2791.64   6.986     90
       1663.70   4.163     88
       1658.21   4.150    123
       1656.56   4.146    141
       1651.06   4.132     98
       1632.93   4.086     32
       1629.27   4.077     69
       1626.88   4.071     83
       1625.97   4.069     63
       1622.12   4.059    226
       1619.92   4.054    237
       1614.98   4.041    245
       1612.78   4.036    228
       1608.93   4.026     57
       1607.84   4.024     91
       1605.82   4.019     74
       1601.97   4.009     32
       1325.76   3.318    110
       1318.43   3.299    112
       1311.11   3.281     67
       1303.78   3.263     61
        430.07   1.077    487
        423.11   1.059   1000
        415.97   1.041    476
    

in DMSO-d6



KBr disc



nujol mull