产品名称 Tri(3-furyl)phosphine
CAS号
分子式C12H9O3P
分子量232.171821
InChIInChI=1S/C12H9O3P/c1-4-13-7-10(1)16(11-2-5-14-8-11)12-3-6-15-9-12/h1-9H
InChIKeyOWUCKJPTLCQJNG-UHFFFAOYSA-N
SmilesP(C1C=COC=1)(C1C=COC=1)C1C=COC=1
展开 收起
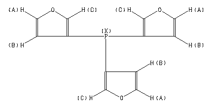
Parameter ppm Hz D(A) 7.329 D(B) 6.282 D(C) 7.256 J(A,B) 1.807 J(A,C) 1.505 J(A,X) 0.862 J(B,C) 0.819 J(B,X) 1.797 J(C,X) 0.797 JAKOBSEN,H.J. J.MOL.SPECTROSC. 38, 243 (1971)
更多供应商