
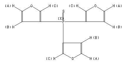
Tri(3-furyl)phosphine sulfide
产品名称
Tri(3-furyl)phosphine sulfide
CAS号32488-64-5
分子式C12H9O3PS
分子量264.236821
InChIInChI=1S/C12H9O3PS/c17-16(10-1-4-13-7-10,11-2-5-14-8-11)12-3-6-15-9-12/h1-9H
InChIKeyGMZSMKKKTSDEOT-UHFFFAOYSA-N
SmilesP(=S)(C1C=COC=1)(C1C=COC=1)C1C=COC=1
展开
收起
-
Parameter ppm Hz
D(A) 7.720
D(B) 6.557
D(C) 7.520
J(A,B) 0.871
J(A,C) 1.559
J(A,X) 2.764
J(B,C) 1.869
J(B,X) 3.751
J(C,X) 2.764
JAKOBSEN,H.J. J.MOL.SPECTROSC. 38, 243 (1971)
Spectral Code: 1H NMR : parameter in CDCl3