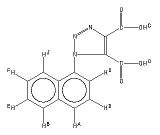
产品名称 1-(1-Naphthyl)-1H-1,2,3-triazole-4,5-dicarboxylic acid
CAS号
分子式C14H9N3O4
分子量283.23896
InChIInChI=1S/C14H9N3O4/c18-13(19)11-12(14(20)21)17(16-15-11)10-7-3-5-8-4-1-2-6-9(8)10/h1-7H,(H,18,19)(H,20,21)
InChIKeyXWIRGBBMUNDEGU-UHFFFAOYSA-N
SmilesN1(C2=C3C(C=CC=C3)=CC=C2)C(C(O)=O)=C(C(O)=O)N=N1
展开 收起
Assign. Shift(ppm) A 8.225 B 8.127 C 7.73 D 7.70 E *1 7.655 F *1 7.593 G 7.25 J 7.157 J(F,J)=8.4HZ. J(B,E)=8.3HZ. J(A,D)=7.3HZ. J(A,C)=1.8HZ.
ppm Int. Assign. 161.13 613 1 158.70 656 2 138.82 437 3 135.42 314 4 133.32 555 5 132.42 530 6 130.72 670 7 128.90 455 8 128.17 656 9 127.95 728 10 126.98 679 11 125.13 1000 12 13 121.58 613 14
更多供应商
相关产品图谱