-
ppm Int. Assign.
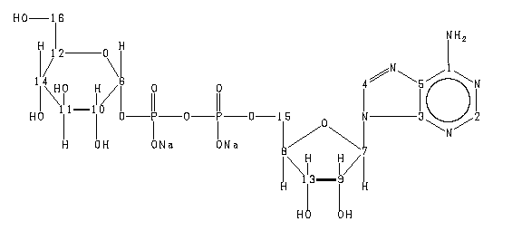
155.98 241 1 153.16 642 2 149.67 218 3 140.55 470 4 119.22 255 5 96.24 330 P 6 95.93 372 P 6 87.56 637 7 84.54 332 P 8 84.20 308 P 8 74.88 852 9 73.53 700 P 10 73.39 1000 P 10 11 72.08 380 12 70.94 670 13 69.92 680 14 65.91 386 P 15 65.70 431 P 15 61.07 676 16Spectral Code: 13C NMR : in D2O
更多供应商

