-
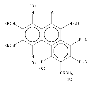
Parameter ppm Hz
D(A) 7.75 D(B) 8.025 D(C) 9.10 J(A,B) 8.5 J(A,C) 0.3 J(B,C) 1.9 D(D) 8.655 D(E) 7.695 D(F) 7.665 D(G) 8.305 J(D,E) 8.5 J(D,F) 1.0 J(D,G) 0.5 J(E,F) 7.0 J(E,G) 1.25 J(F,G) 8.45 D(J) 8.005 D(K) 2.685 BARTLE,K.D. & SMITH,J.A.S. SPECTROCHIM.ACTA 23A, 1689 (1967)Spectral Code: 1H NMR : parameter in CS2
更多供应商

