产品名称 Tri(3-furyl)phosphine oxide
CAS号
分子式C12H9O4P
分子量248.171221
InChIInChI=1S/C12H9O4P/c13-17(10-1-4-14-7-10,11-2-5-15-8-11)12-3-6-16-9-12/h1-9H
InChIKeyAZKXZDVLARRLOA-UHFFFAOYSA-N
SmilesP(=O)(C1C=COC=1)(C1C=COC=1)C1C=COC=1
展开 收起
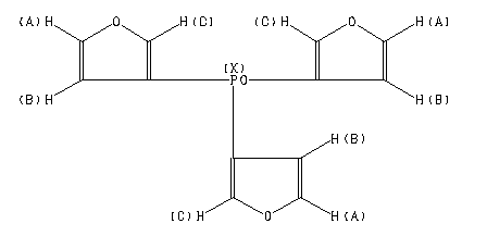
Parameter ppm Hz D(A) 7.731 D(B) 6.567 D(C) 7.559 J(A,B) 0.857 J(A,C) 1.515 J(A,X) 2.379 J(B,C) 1.884 J(B,X) 3.508 J(C,X) 1.890 JAKOBSEN,H.J. J.MOL.SPECTROSC. 38, 243 (1971)
更多供应商