图谱信息 供应商 相关产品
网站主页CAS数据库列表 更多图谱

CINCHONIDINE DIHYDROCHLORIDE

产品名称 CINCHONIDINE DIHYDROCHLORIDE

CAS号

分子式C19H24Cl2N2O

分子量367.31

展开

400 MHz in DMSO-d6


  • 1H NMR 399.65 MHz
    C19 H22 N2 O 0.031 g : 0.5 ml DMSO-d6
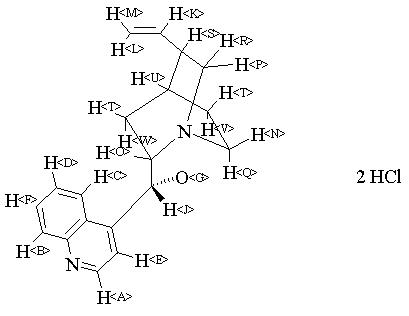
    cinchonidine dihydrochloride
    ChemicalStructure
        Assign.     Shift(ppm)
    A 9.297 B 9.077 C 8.507 D 8.177 E 8.17 F 7.980 G 7.09 J 6.535 K 5.778 L 5.089 M 4.967 N 3.98 O 3.621 P 3.54 Q 3.24 R 3.07 S 2.72 T 2.10 to 2.03 U 2.00 V 1.87 W 1.50 assigned by H-H COSY. The sample included H2O. J(A,E) = 5.5 Hz J(K,L) = 17.2 Hz J(K,M) = 10.3 Hz

         Hz     ppm     Int.
    

       4808.85  12.033    272
       4807.57  12.030    289
       4807.20  12.029    292
       4806.84  12.028    287
       3718.65   9.305    635
       3713.15   9.292    659
       3632.01   9.088    436
       3623.40   9.067    453
       3404.52   8.519    471
       3395.91   8.498    537
       3275.38   8.196    288
       3268.24   8.178   1000
       3262.93   8.165    664
       3260.55   8.159    344
       3260.00   8.158    344
       3196.26   7.998    287
       3188.75   7.979    408
       3180.69   7.959    239
       2611.77   6.536    653
       2317.24   5.799    182
       2310.10   5.781    314
       2303.14   5.763    191
       2300.02   5.756    198
       2292.70   5.737    178
       2042.31   5.111    506
       2025.09   5.068    455
       1990.10   4.980    516
       1979.85   4.954    492
       1449.40   3.627    206
       1448.48   3.625    214
       1447.75   3.623    212
       1447.20   3.622    209
       1446.65   3.620    210
       1445.92   3.618    214
       1445.18   3.617    215
       1444.82   3.616    210
       1444.45   3.615    205
       1438.96   3.601    175
       1438.59   3.600    177
       1414.96   3.541    289
       1403.60   3.513    170
       1290.22   3.229    173
       1229.96   3.078    169
       1094.05   2.738    169
       1093.69   2.737    173
       1093.14   2.736    175
       1092.77   2.735    175
       1092.22   2.733    177
       1091.86   2.733    175
       1090.94   2.730    172
       1090.57   2.729    171
       1090.21   2.728    171
       1089.66   2.727    171
       1088.74   2.725    170
       1088.38   2.724    169
       1086.54   2.719    169
       1085.26   2.716    169
       1084.71   2.715    171
       1084.35   2.714    170
        831.39   2.081    175
        829.93   2.077    192
        829.01   2.075    199
        828.65   2.074    203
        828.10   2.073    195
        827.18   2.070    184
        825.53   2.066    206
        824.98   2.065    214
        823.15   2.060    246
        822.60   2.059    250
        822.23   2.058    250
        821.68   2.056    249
        820.95   2.055    244
        817.84   2.047    296
        817.11   2.045    302
        816.37   2.043    300
        815.64   2.041    286
        812.71   2.034    204
        811.98   2.032    203
        811.61   2.031    205
        810.88   2.029    199
        800.07   2.002    455
        798.24   1.998    385
        797.51   1.996    376
        745.67   1.866    169
        745.30   1.865    171
        744.75   1.864    171
        744.21   1.863    171
        743.84   1.862    172
        743.47   1.861    171
        743.11   1.860    171
        599.32   1.500    200
        598.77   1.499    204
        598.22   1.497    206
        597.67   1.496    207
        597.31   1.495    205
        596.94   1.494    207
        596.57   1.493    204
    

in D2O



KBr disc



nujol mull



更多供应商