8YR企业会员
询价
更新时间:2026/03/30
三乙酰更昔洛韦
询价
更新时间:2026/03/30
更昔洛韦侧链
询价
更新时间:2026/03/30
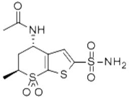
N-[(4S,6S)-6-甲基-7,7-二氧代-2-磺酰胺基-5,6-二氢-4H-噻吩并[2,3-B]噻喃-4-基]乙酰胺
询价
更新时间:2026/03/30
N-[(4S,6S)-5,6-二氢-6-甲基-4H-噻吩并[2,3-B]噻喃-4-基]乙酰胺-7,7-二氧化物
询价
更新时间:2026/03/30
8-溴-3-甲基-3,7-二氢-嘌呤-2,6-二酮
询价
更新时间:2026/03/30