5YR企业会员
发布人:西安凯新生物科技有限公司
发布日期:2026/4/10 15:59:43
试剂基本参数
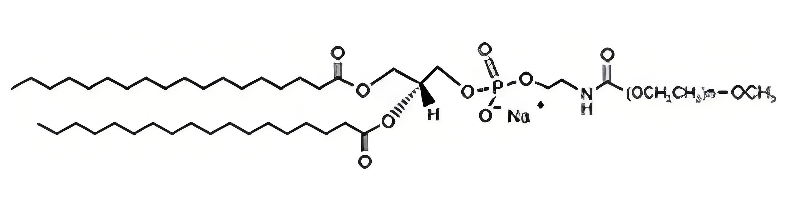
中文名称:甲氧基聚乙二醇磷脂酰乙醇胺,甲氧基 PEG 磷脂
英文名称:mPEG1000-DSPE,DSPE-mPEG,mPEG-DSPE
CAS号:178744-28-0
分子量:0.4k,0.6k,1k,2k,3.4k,5k,10k(可按需定制)
纯度:≥95%
溶解性:溶于大部分有机溶剂,溶于水
规格:5g,10g(可按需定制)
试剂厂家:西安凯新生物
储存条件:-20℃避光干燥保存,避免反复冻融
试剂介绍
mPEG-DSPE是一种两亲性高分子聚合物,全称为甲氧基聚乙二醇-二硬脂酰基磷脂酰乙醇胺。其分子结构由疏水的DSPE磷脂尾部、亲水的PEG间隔臂以及惰性的甲氧基封端(-OCH₃)三部分构成。该试剂常被科研人员用作“纳米载体的隐形涂层材料”,在药物递送系统和脂质体制备领域发挥核心作用。
核心特点
两亲性分子设计:DSPE疏水尾部(含两条饱和18碳脂肪酸链)可稳定嵌入脂质双层或纳米颗粒的疏水核心;PEG亲水链向外伸展形成立体屏障,使试剂能够牢固锚定在载体表面。
长循环隐形效果:PEG链形成的亲水层可有效减少血浆蛋白吸附,降低网状内皮系统的识别与清除,从而显著延长纳米载体的体内循环半衰期(例如可使药物半衰期延长至传统制剂的10倍以上)。
提高载体稳定性:PEG化修饰能增强脂质体或胶束在水相中的分散性,防止颗粒聚集,同时降低临界胶束浓度(CMC),确保载体在稀释环境下仍维持结构完整。
生物相容性良好:DSPE和PEG均为生物可降解材料,代谢产物毒性低,符合药用辅料的安全性要求。
分子量可定制:PEG分子量可根据实验需求定制(常见规格包括1000、2000、3400、5000、10000、20000 Da等),以适应不同尺寸和性质的纳米载体系统。
化学性质
基本参数:CAS号为147867-65-0。外观随分子量增大从粘稠液体变为白色至类白色固体粉末。纯度规格通常≥95%。
溶解特性:可溶于氯仿、甲醇、二甲基亚砜(DMSO)等有机溶剂,可分散于温水或缓冲液中形成胶束。
物理常数:以PEG2000规格为例,分子量约为2800±200,在水中溶解度约3-4 g/100 mL。
相关试剂
Aminooxy-PEG6-alcohol
Amino-PEG4-alcohol
azido-PEG1-OH
Allyl-PEG9-OH
Allyl-PEG8-OH
Allyl-PEG6-OH
Allyl-PEG5-OH
Allyl-PEG4-OH
Allyl-PEG10-OH
Allyl-PEG7-OH
n-dodecyl-PEG9-OH
Propargyl-PEG14-alcohol
Thiol-PEG11-alcohol
Thiol-PEG12-alcohol
m-PEG3-amine
Propargyl-PEG11-alcohol
Biotin-PEG1-OH
Biotin-PEG2-OH
Biotin-PEG7-OH
Biotin-PEG9-OH
本期内容由凯新生物MLY整理完毕,感谢阅读。
注意:本内容仅供科研目的,请勿移作他用。
相关新闻资讯