5YR企业会员
发布人:西安凯新生物科技有限公司
发布日期:2026/4/14 17:24:19
试剂基本参数
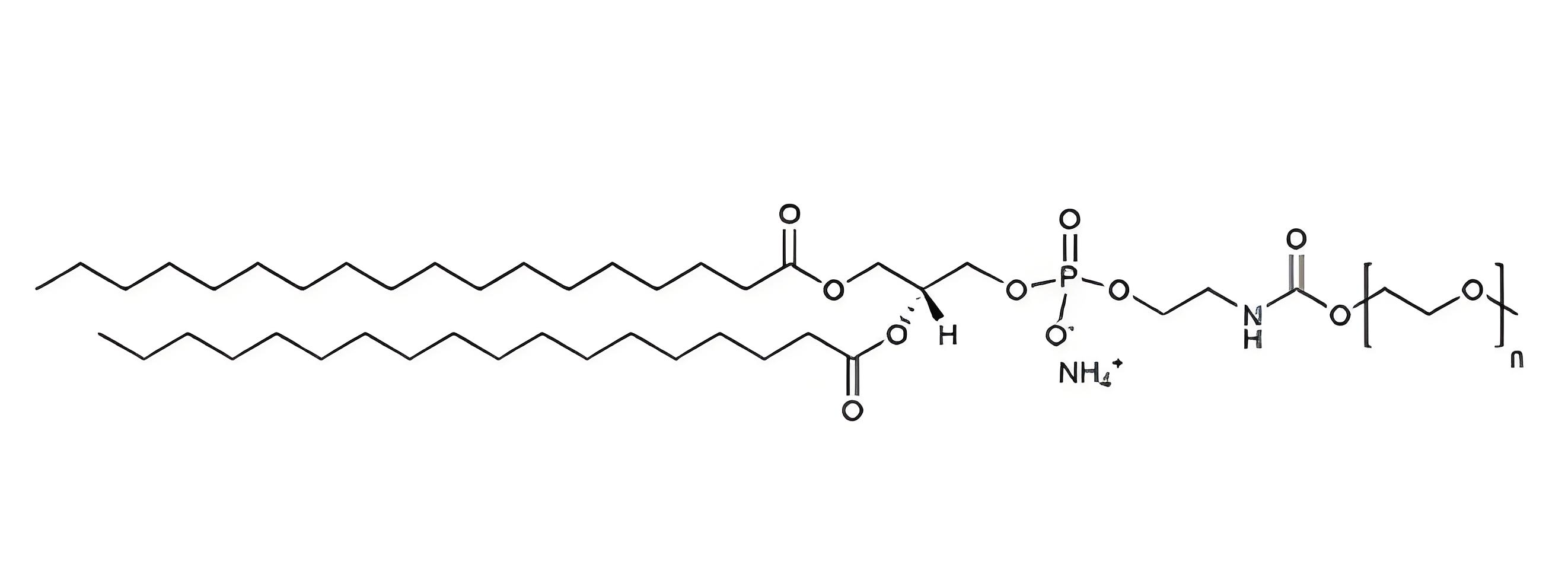
中文名称:二硬脂酰磷脂酰乙醇胺-聚乙二醇,磷脂-聚乙二醇
英文名称:DSPE-PEG
纯度:≥95%
溶解性:溶于有机溶剂
性状:白色至浅黄色固体
规格:5g,10g(可按需定制)
试剂厂家:西安凯新生物
储存条件:-20℃避光干燥保存,避免反复冻融
试剂介绍
DSPE-PEG是一种两亲性高分子聚合物,全称为二硬脂酰基磷脂酰乙醇胺-聚乙二醇。其分子结构由疏水的DSPE磷脂尾部与亲水的PEG链段共价连接而成。该试剂常被科研人员用作“纳米载体的基础骨架材料”,在药物递送系统和脂质体制备领域发挥核心作用。
核心特点
两亲性自组装能力:疏水的DSPE尾部(含两条饱和18碳脂肪酸链)可嵌入脂质双层,亲水的PEG链向外伸展,使分子能够在水中自发形成脂质体、胶束等纳米结构。
改善载体体内性能:PEG链形成的亲水屏障可有效减少血浆蛋白吸附,降低免疫系统识别与清除,从而延长纳米载体的体内循环时间。
生物相容性良好:DSPE是细胞膜的天然组分,PEG为生物可降解材料,代谢产物安全性高,符合药用辅料要求。
分子量可定制:PEG分子量可根据实验需求定制,常见规格包括1000、2000、3400、5000、10000、20000 Da等。
化学性质
基本参数:CAS号为145035-96-7。外观随PEG分子量增大从粘稠液体变为白色至类白色固体粉末。纯度规格通常≥95%。
溶解特性:可溶于氯仿、甲醇、二甲基亚砜(DMSO)等有机溶剂,可在水相中分散形成胶束。
存储稳定性:需在-20℃条件下密封、避光、干燥保存,开封后应尽快使用,避免反复冻融。
相关试剂
DSPE-PEG6-COOH
DSPE-PEG7-COOH
DSPE-PEG12-COOH
DSPE-PEG11-propargyl
DSPE-PEG5000-COOH
DSPE-PEG5000-CHO
mPEG750-DSPE
DSPE-PEG11-COOH
DSPE-PEG11-Azide
DSPE-PEG12-Azide
DSPE-PEG8-Mal
DSPE-PEG1-Mal
DSPE-PEG2-Mal
DSPE-PEG3-Mal
DSPE-PEG4-Mal
DSPE-PEG9-Mal
DSPE-PEG10-Mal
DSPE-PEG5000-FITC
DSPE-PEG2000-PDP
mPEG20000-DSPE
本期内容由凯新生物MLY整理完毕,感谢阅读。
注意:本内容仅供科研目的,请勿移作他用。
相关新闻资讯