5YR企业会员
发布人:西安凯新生物科技有限公司
发布日期:2026/4/17 16:12:24
试剂基本参数
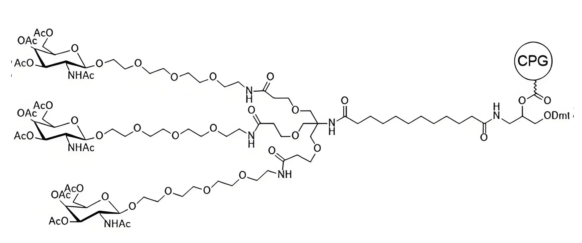
中文名称:N-乙酰半乳糖胺 (TEG)-CPG
英文名称:GALNAC (TEG)-CPG
外观:固体
纯度:≥95%
规格:50mg,100mg(可按需定制)
试剂厂家:西安凯新生物
储存条件:-20℃避光干燥保存,避免反复冻融
试剂介绍
GALNAC (TEG)-CPG是一种用于寡核苷酸固相合成的功能化载体材料,其名称来源于分子中的三个结构单元:N-乙酰半乳糖胺(GalNAc)、三甘醇连接臂(TEG,Triethylene Glycol)以及可控孔度玻璃载体(CPG,Controlled Pore Glass)。该试剂常被科研人员用作“肝脏靶向核酸药物的合成起点”,在siRNA和反义寡核苷酸药物开发领域发挥核心作用。
核心特点
肝脏细胞主动靶向能力:末端的GalNAc基团可特异性识别并结合肝细胞表面高表达的去唾液酸糖蛋白受体(ASGPR),通过受体介导的内吞作用将核酸药物精准递送至肝脏,减少对非靶组织的毒副作用。
三价结构增强亲和力:该试剂采用三聚体GalNAc结构(三个GalNAc单元通过TEG连接臂偶联),对ASGPR的亲和力比单体或二体高出约1000倍,显著提升药物的肝摄取效率。
TEG连接臂改善性能:三甘醇连接臂具有良好水溶性和柔性,可减少空间位阻,确保GalNAc与受体的有效结合,同时提高载体-核酸复合物在水相合成体系中的溶解性。
固相合成载体功能:CPG载体为寡核苷酸链的延伸提供稳定固相支撑,通过亚磷酰胺化学法将GalNAc修饰引入核酸链的3'端,适用于长链RNA的高效合成。
化学性质
基本参数:纯度规格通常≥95-98%(HPLC),外观为白色至类白色粉末,孔径有500 Å和1000 Å两种规格可选,分别适配不同长度的寡核苷酸合成。
溶解特性:不溶于有机溶剂和水,作为固相载体使用时需配合标准亚磷酰胺合成试剂。
相关试剂
Fmoc-NH-PEG3-alcohol
Fmoc-NH-PEG4-alcohol
Fmoc-NH-PEG5-alcohol
Fmoc-NH-PEG6-alcohol
Fmoc-NH-PEG7-alcohol
Fmoc-NH-PEG8-alcohol
Fmoc-NH-PEG9-alcohol
Fmoc-NH-PEG10-alcohol
Fmoc-NH-PEG11-alcohol
Fmoc-NH-PEG12-alcohol
Fmoc-NH-PEG1-CH2COOH
Fmoc-NH-PEG2-CH2COOH
Fmoc-NH-PEG3-CH2COOH
Fmoc-NH-PEG4-CH2COOH
Fmoc-NH-PEG5-CH2COOH
Fmoc-NH-PEG6-CH2COOH
Fmoc-NH-PEG7-CH2COOH
Fmoc-NH-PEG8-CH2COOH
本期内容由凯新生物MLY整理完毕,感谢阅读。
注意:本内容仅供科研目的,请勿移作他用。
相关新闻资讯