1YR企业会员
发布人:湖北研科时代科技有限公司
发布日期:2026/3/10 10:43:46
【63700-19-6 】尿苷-5′-二磷酸葡糖醛酸三钠盐-多糖系列-品质优选;精品试剂;湖北研科时代-精工之料、赋能创造!
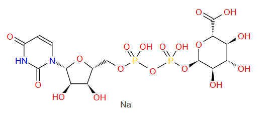
尿苷 - 5′- 二磷酸葡糖醛酸三钠盐(UDPGA-Na₃)

CAS 号:63700-19-6
分子式:C₁₅H₁₉N₂Na₃O₁₈P₂
分子量:646.23
外观:白色至类白色冻干粉末 / 固体
溶解性:水溶性良好(25℃,约 50–100 mg/mL),也可溶于 DMSO
由尿苷二磷酸(UDP) 与α-D - 葡糖醛酸通过高能磷酸酐键连接而成。
葡糖醛酸上的羧基在生理 pH 下带负电,显著提升水溶性,并提供反应位点。
作为活化糖供体,是体内II 相代谢(葡糖醛酸化) 的关键辅酶。
药物代谢与毒理学研究
是UGT 酶(尿苷二磷酸葡糖醛酸转移酶) 的必需底物,用于体外评估药物的葡糖醛酸化代谢速率与清除潜力。
用于胆红素代谢研究(如 UGT1A1 缺陷导致的黄疸)。
生物合成与糖生物学
合成糖胺聚糖、蛋白多糖、植物细胞壁多糖、细菌荚膜多糖等糖复合物的关键前体。
作为糖基转移酶的糖供体,用于体外合成葡糖醛酸苷类化合物。
科研试剂
用于代谢组学、酶学、糖生物学等基础研究。
储存:-20℃避光、干燥、密封保存。
溶液:配成水溶液后建议分装冻存,避免反复冻融。
安全:仅用于科研,操作时建议戴手套。
联系人:15780669880;15727070860
王菲QQ-3956434929;江诚QQ-3934774142;向婉儿QQ-1583824705
邮 箱:15780669880@163.com










相关新闻资讯