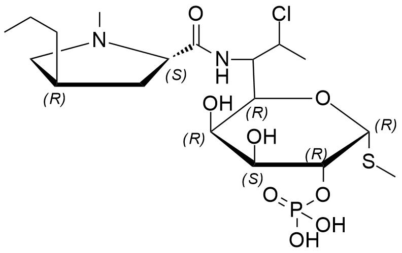
克林霉素磷酸酯EP杂质L滴滴
询价
1mg
起订
湖北 更新日期:2026-02-05
产品详情:
- 中文名称:
- 克林霉素磷酸酯EP杂质L滴滴
- 产品类别:
- 对照品 杂质对照品
公司简介
Molcoo专注于标准品业务,一直与世界各地制药企业、检测机构、高校实验室有着良好的合作关系。为更好更快的拓展中国业务,我们与我们中国的重要合作伙伴共同成立深圳摩科生化科技有限公司,所有标准品将由Molcoo提供质量保证及相关证书(COA)、C-NMR、H-NMR、MS、HPLC/GC等结构确证及纯度证明图谱、制备路线、图谱解析。亚洲区客户将由中国仓库发货,欧美等地区将由美国仓库发货。
Molcoo主要产品包括药物杂质对照品,同时我们也提供定制合成服务。
| 成立日期 | (8年) |
| 注册资本 | 1000万 |
| 员工人数 | 10-50人 |
| 年营业额 | ¥ 1000万-5000万 |
| 经营模式 | 贸易,工厂,试剂,定制,服务 |
| 主营行业 | 化学试剂 |
克林霉素磷酸酯EP杂质L滴滴相关厂家报价
-
- 火爆杂质克林霉素磷酸酯EP杂质I供货
- 深圳摩科生化科技有限公司 VIP
- 2026-04-29
- ¥500
-
- 盐酸克林霉素;氯洁霉素;氯林霉素;
- 武汉维斯尔曼生物工程有限公司 VIP
- 2026-04-29
- 询价
-
- 克林霉素杂质10 (磷酸克林霉素EP杂质A)(盐酸克林霉素EP杂质A)
- 湖北扬信医药科技有限公司 VIP
- 2026-04-29
- ¥1000
