基本信息 产品详情 公司简介 推荐产品
网站主页 化工产品目录 分析化学 标准品 药典标准品和杂质标准品 利伐沙班杂质 11 利伐沙班杂质29
  • 利伐沙班杂质29

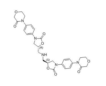
利伐沙班杂质29

4,4'-(((5S,5'S)-(azanediylbis(methylene))bis(2-oxooxazolidine-5,3-diyl))bis(4,1-phenylene))bis(morpholin-3-one)
询价 100mg 起订
50mg 起订
25mg 起订
10mg 起订
北京 更新日期:2026-01-16

北京康派森医药科技有限公司

VIP14年
联系人:田金龙
电话:010-010-52878169拨打
手机:15801002657 拨打
邮箱:sales@bjcomparison.com

产品详情:

中文名称:
利伐沙班杂质29
英文名称:
4,4'-(((5S,5'S)-(azanediylbis(methylene))bis(2-oxooxazolidine-5,3-diyl))bis(4,1-phenylene))bis(morpholin-3-one)
保存条件:
2~8℃,避光
纯度规格:
98%
产品类别:
053-利伐沙班

利伐沙班系列杂质,用于利伐沙班药物研发中的有关物质研究和检查。提供质量证书COA(含工艺路线、详细结构确证图谱解析、含量标定等)。

利伐沙班;

公司简介

北京康派森医药科技有限公司是一家以研发药品注册过程中所涉及的杂质对照品为核心生产商。

成立日期 (11年)
注册资本 100万元
员工人数 50-100人
年营业额 ¥ 100万以内
经营模式 定制,服务
主营行业 中间体,医药原料,医药中间体,原料药

利伐沙班杂质29相关厂家报价

内容声明
拨打电话 立即询价