基本信息 产品详情 公司简介 推荐产品
网站主页 化工产品目录 化学试剂 有机试剂 羟胺 拉帕替尼 拉帕替尼羟胺杂质
  • 拉帕替尼羟胺杂质

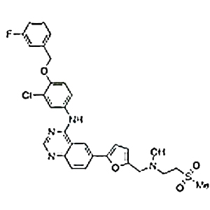
拉帕替尼羟胺杂质

Lapatinib Hydroxylamine
询价 50mg 起订
100mg 起订
广东 更新日期:2026-04-24

深圳博泰尔生物技术有限公司

VIP8年
联系人:周经理
电话:13316949107拨打
手机:13316968096 拨打
邮箱:1979313431@qq.com

产品详情:

中文名称:
拉帕替尼羟胺杂质
英文名称:
Lapatinib Hydroxylamine
CAS号:
1360431-86-2
产品类别:
杂质对照品

产品名称:拉帕替尼羟胺杂质


英文名:Lapatinib Hydroxylamine


CAS号:1360431-86-2


深圳博泰尔生物技术有限公司,杂质 现货提供,欢迎咨询 ! 品牌PLC, 提供核磁质谱液相COA  TGA等结构式确认资料

1、代理销售各大品牌杂质对照品、标准品:

中检所标准品(CP标准品),欧洲药典标准品(EP标准品),英国药典(BP标准品),美国药典标准品(USP标准品),日本药典标准品(JP标准品),英国政府化学家实验室标准品(LGC标准品),美国PLC标准品,加拿大多伦多化学标准品(TRC标准品),TLC标准品,美国Sigma-Aldrich公司,,产品种类齐全,货期准时。

2、各大项目药物杂质定制合成服务:

提供新药申报所需各种药物杂质对照品、药物中间体及代谢产物的定制合成服务,并提供药物杂质、天然产物、微生物代谢产物分离纯化/结构鉴定技术服务。 

3、参比制剂一次性进口及评价:

深圳博泰尔生物技术有限公司优势提供全球原研参比制剂(美国,加拿大,日本,欧洲等国家)一次性进口/代购服务,拥有美国、欧盟、日本等多国合法、合规供应商,能为您提供药品一致性评价所需的参比制剂以及相关技术支持,货期准时。


拉帕替尼羟胺杂质;

公司简介

深圳博泰尔生物技术有限公司成立于2013年,主要为全国各大医药生产和研发企业、检验机构、科研院校等提供进口标准品、中检所对照品、医药杂质对照品、医药中间体、全球原研参比制剂等产品。 公司自成立以来,一直遵循"诚实、诚恳、诚信"的企业文化,以优质服务为宗旨,从点滴做起,全心全意地为用户服务,通过快速的交货,合理的价格,完善的技术支持和售后服务,与区域内各大高校、医院、生物制药等生命科学、化工领域的用户建立了良好的业务关系,也得到了广大用户的认可和支持,为中国的医药专家提供数上万种进口医药杂质标准品,在同行及用户中树立了良好的信誉和口碑。

成立日期 (13年)
注册资本 500
员工人数 10-50人
年营业额 ¥ 5000万-1亿
经营模式 贸易,试剂,定制
主营行业 标准品和对照品,其他分析试剂,色谱试剂,通用试剂,高纯试剂

拉帕替尼羟胺杂质相关厂家报价

内容声明
拨打电话 立即询价