基本信息 产品详情 公司简介 推荐产品
网站主页 化工产品目录 生物化工 生化试剂 激动剂抑制剂 聚乙二醇纳诺醇 纳洛塞醇
  • 纳洛塞醇

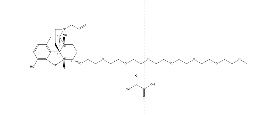
纳洛塞醇

Naloxegol Oxalate
20000 1份 起订
浙江 更新日期:2022-11-16

台州国赐医药技术有限公司

非会员
联系人:冉艳
手机:15267232235 拨打
邮箱:495258146@qq.com

产品详情:

中文名称:
纳洛塞醇
英文名称:
Naloxegol Oxalate
CAS号:
1354744-91-4
产品类别:
API调研资料

NaloxegolOxalate;NaloxegolOxalateNKTR-118;NKTR-118;NKTR-118;NKTR118;NKTR118;(5alpha,6alpha)-4,5-Epoxy-6-(3,6,9,12,15,18,21-heptaoxadocos-1-yloxy)-17-(2-propen-1-yl)-morphinan-3,14-diolethanedioate;AZ13337019oxalate;NKTR118oxalate;(4R,4aS,7S,7aR,12bS)-7-[2-[2-[2-[2-[2-[2-(2-methoxyethoxy)ethoxy]ethoxy]ethoxy]ethoxy]ethoxy]ethoxy]-3-prop-2-enyl-1,2,4,5,6,7,7a,13-octahydro-4,12-methanobenzofuro[3,2-e]isoquinoline-4a,9-diol,oxalicacid

一、基本信息

二、国内制剂上市情况

三、国外制剂上市情况

四、APIDMF持有情况

五、API生产情况

六、重点文献信息

七、推荐合成路线

八、重点工艺信息

九、重点物料和中间体信息

十、API物料成本核算

十一、难点反应机理分析

十二、工艺杂质


聚乙二醇纳诺醇;

公司简介

原料药研发服务

成立日期
注册资本
员工人数
年营业额
经营模式 定制,服务
主营行业 医药中间体,技术服务,整体实验外包服务,其他西药原料

纳洛塞醇相关厂家报价

  • 洛塞琳
  • 洛塞琳
  • 成都格利普生物科技有限公司 VIP
  • 2026-04-24
  • ¥1000
内容声明
拨打电话 立即询价