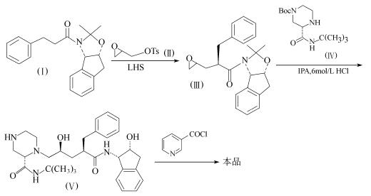
茚地那韦
Indinavir
150378-17-9
150378-17-9
询价
1kg
起订
10kg
起订
江西 更新日期:2026-03-16
产品详情:
公司简介
湖南瑞威尔生物科技有限公司,注册地江西省峡江县,在南昌设有办事处,武汉设有分公司。公司依托母公司江右云商丰富的互
联网运营优势及数字中台技术支持,将科技贯穿于研发、生产、检测及采购、仓储、销售的所有环节,满足了科研客户分散、品
种要求多样化、频繁购买且单次量小的需求,在业内形成了良好的口碑。
公司深耕科研试剂领域,科研试剂产品广泛应用于高等院校、科研院所以及生物医药、新材料、新能源、节能环保、航空航天等
高新技术产业和战略性新兴产业相关企业的研发机构,产品使用者多为科学家和一线研发工程师,赢得了众多知名客户的信赖。
目前与公司发生直接业务往来的科研机构、大学院校、政府、军队等企业和机构超过数量200家。
| 成立日期 | (4年) |
| 注册资本 | 200万 |
| 员工人数 | 10-50人 |
| 年营业额 | ¥ 500万-1000万 |
| 经营模式 | 贸易,工厂 |
| 主营行业 | 医药原料 |
茚地那韦相关厂家报价
-
- 茚地那韦 CAS号:150378-17-9
- 成都超九八生物科技有限公司 VIP
- 2026-04-16
- 询价
-
- 茚地那韦
- 中国食品药品检定研究院
- 2026-04-05
- 询价
-
- 茚地那韦|T5863L|TargetMol
- TargetMol中国(陶术生物) VIP
- 2026-04-02
- ¥2880
-
- 茚地那韦
- 陕西缔都医药化工有限公司 VIP
- 2026-03-13
- 询价
-
- 150378-17-9Indinavir
- 上海嘉定区澄浏公路52号
- 2025-11-06
- 询价
