基本信息 产品详情 公司简介 推荐产品
网站主页 脱硫甲基克林霉素 脱硫甲基克林霉素
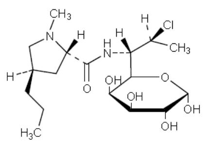
  • 脱硫甲基克林霉素

脱硫甲基克林霉素

询价 20mg 起订
50mg 起订
100mg 起订
山东 更新日期:2026-02-23

山东沃德森生物科技有限公司

VIP6年
联系人:刘经理
电话:0531-88723173拨打
手机:18596073690 拨打
邮箱:1047208234@qq.com

产品详情:

中文名称:
脱硫甲基克林霉素
保存条件:
2-8度保存
纯度规格:
96.600%
产品类别:
ZJ

品名:脱硫甲基克林霉素

批号:WDS-TLJJKLMS-01

分子式:C17H31CIN2O6

分子量:394.89

HNMR:合格
MS:合格

附件:HNMR、MS、ELSD

脱硫甲基克林霉素;甲基克林霉素;克林霉素;

公司简介

山东沃德森生物科技有限公司,是一家集研发、合成、销售为一体的集团性企业,公司目前员工100余名,实验室面积2000平,目前在售杂质种类800余种,存有大量现货,也可以接受定制。

成立日期 (7年)
注册资本 1500.000000万
员工人数 10-50人
年营业额 ¥ 100万以内
经营模式 试剂,定制,服务
主营行业 中间体,天然产物,化学试剂,医药原料

脱硫甲基克林霉素相关厂家报价

内容声明
拨打电话 立即询价