基本信息 产品详情 公司简介 推荐产品
网站主页 CYANINE 7 TETRAZINE 花青素CY7四嗪
  • 花青素CY7四嗪

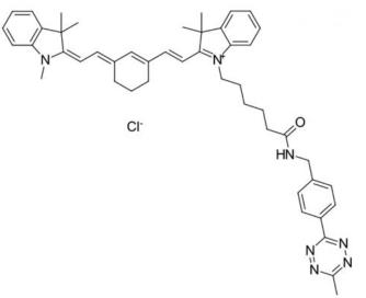
花青素CY7四嗪

Cyanine7 tetrazine
询价 5mg 起订
陕西 更新日期:2026-02-04

西安齐岳生物科技有限公司

VIP5年
联系人:李先生
电话:400-400-6966-012-012拨打
手机:17778955912 拨打
邮箱:2957605606@qq.com

产品详情:

中文名称:
花青素CY7四嗪
英文名称:
Cyanine7 tetrazine
保存条件:
-20℃
纯度规格:
99%+
产品类别:
化学试剂

Cyanine7 tetrazine,Cy7 tetrazine

Cy7-tetrazine,Cy7-TZ,Cy7-四嗪,Cyanine7-tetrazine,Cyanine7-TZ,Cyanine7-四嗪

中文名:花青素CY7 四嗪

花青素CY7四氮杂苯

英文名:Cyanine7 tetrazine

Cy7 tetrazine

性 状:深色固体

分子式:C47H54N7F6OP

分子量:877.94

花青素CY7 四嗪 

激发波长:750

发射波长:773

溶解度:溶于二氯甲烷、极性有机溶剂(DMF、DMSO)、醇类、低水。

质量控制:纯度>95%

储存条件:在-20°C中24个月。

运 输:室温下长达3周。避免长时间接触光线。

产品描述:

TCO ligation is a reaction that takes place between a tetrazine and a strained olefin, such as trans-cyclooctene.

This tetrazine bears a fragment of near infrared dye, Cyanine7. This NIR fluorophore is especially useful for in vivo imaging.

相关产品:

CY7-COOH

CY7-NHS ester  

CY7-NH2

CY7-azide

CY7-alkyne

CY7-MAL

CY7-hydrazide

CY7-SH

本文由QiyueLh整理,2022年5月18日



花青素CY7四嗪;Cyanine7 tetrazine;

公司简介

西安齐岳生物科技有限公司是国内一家生物科技公司,我公司生产销售科研级别的药物传递和药物纳米靶向方面的产品,公司目前经营的产品主要有合成磷脂,PEG衍生物,嵌段共聚物,纳米金,磁性纳米颗粒,介孔二氧化硅,活性荧光染料,荧光量子点,点击化学和大环配体等等

成立日期 (11年)
注册资本 伍拾万元人民币
员工人数 10-50人
年营业额 ¥ 100万以内
经营模式 试剂,定制,服务,试剂,定制,服务
主营行业 中间体,中间体,化学试剂,化学试剂

花青素CY7四嗪相关厂家报价

  • Cy7四嗪
  • Cy7四嗪
  • 西安百萤生物科技有限公司 VIP
  • 2026-03-16
  • 询价
内容声明
拨打电话 立即询价