基本信息 产品详情 公司简介 推荐产品
网站主页 化工产品目录 生物化工 多肽 促食素A Orexin A (human, rat, mouse)
  • 食欲素A/Orexin A (human, rat, mouse)/205640-90-0

食欲素A/Orexin A (human, rat, mouse)/205640-90-0

Orexin A (human, rat, mouse)
205640-90-0
100 1mg 起订
询价 5mg 起订
询价 20mg 起订
浙江 更新日期:2026-04-10

杭州固拓生物科技有限公司

VIP6年
联系人:胡经理
手机:15397062932 拨打
邮箱:sales1@gotopbio.com

产品详情:

中文名称:
Orexin A (human, rat, mouse)
英文名称:
Orexin A (human, rat, mouse)
CAS号:
205640-90-0
品牌:
固拓
产地:
浙江杭州
保存条件:
密封避光保存-20℃
纯度规格:
95%
产品类别:
目录肽
用途范围:
科研使用
规格:
mg
货号:
GT-P186

Product NameOrexin A (human, rat, mouse)

SynonymsBaicalin-7-glucosideHypocretin 1Orexin A (bovine, human, mouse, rat);食欲素A

CAS No.05640-90-0

Catalog No.GT-P186

DescriptionOrexin A是一种神经多肽,在生物体内的主要角色是衡量新陈化谢、生理节奏以及睡眠债等多方面的影响从而决定生物体究竟应该清醒或是睡眠。Orexin A是由33个氨基酸组成的多肽,序列中含有两对二硫键,空间结果很稳定,具有较长的生理半衰期。

Purity (HPLC) ≥95.0%

Single impurity≤2%

Peptide content≥75.0%

Amino Acid Composition≤±15%

Bacterial Endotoxins≤50EU/mg

Vacuum-packed with aluminum foil bag or transparent bag. 10mg,50mg,100mg,1g,10g, 50g per package with icebag. Or according to your request. 

Storage:Cool dry place( Store at -20°C, away from the light)

Remark:For Research Use Only. Not for human use.

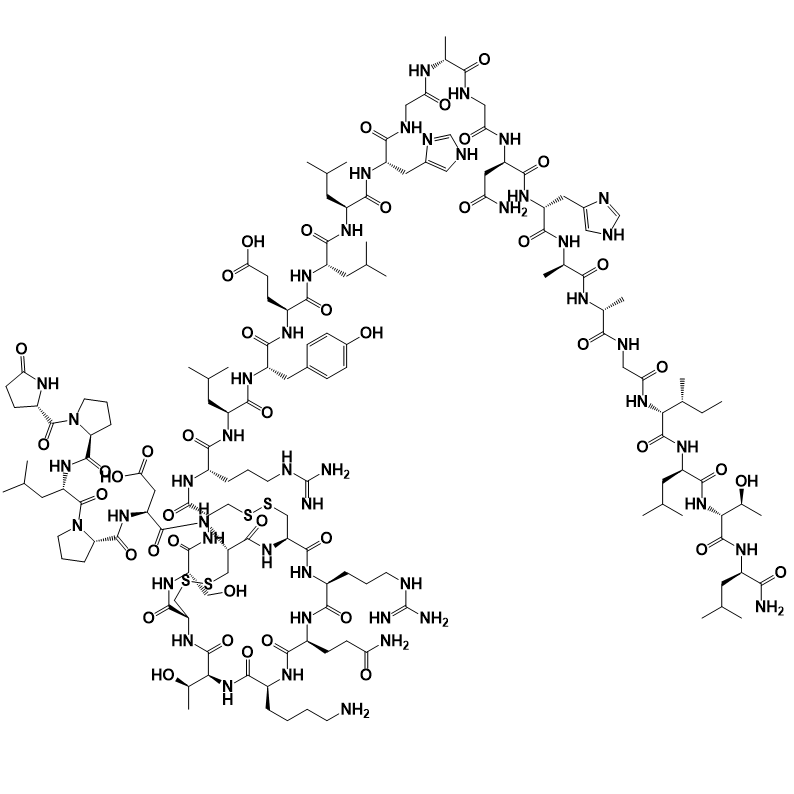
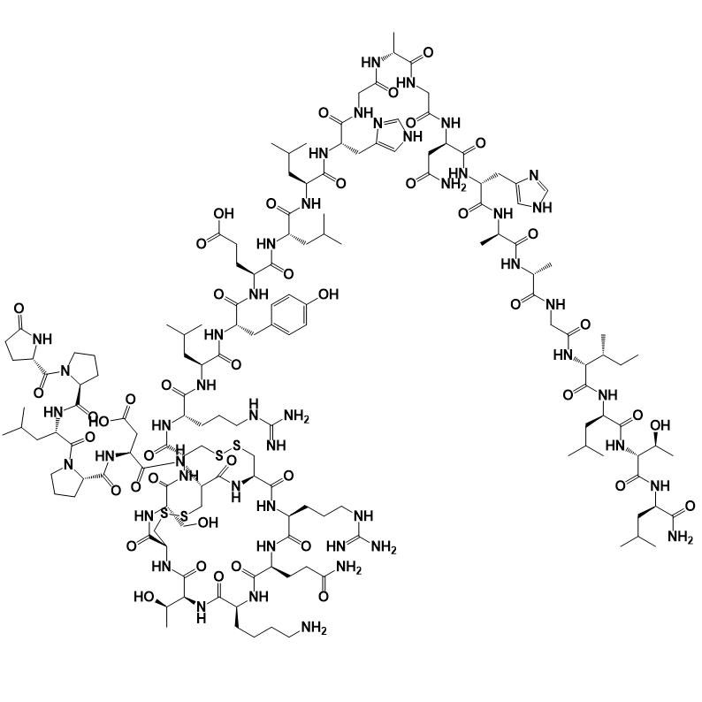
Sequence(3-letter code)

Pyr-Pro-Leu-Pro-Asp-Cys-Cys-Arg-Gln-Lys-Thr-Cys-Ser-Cys-Arg-Leu-Tyr-Glu-Leu-Leu-His-Gly-Ala-Gly-Asn-His-Ala-Ala-Gly-Ile-Leu-Thr-Leu-NH2 (Disulfide bridge: Cys6-Cys12, Cys7-Cys14)

Sequence(1-letter code)

Pyr-PLPDCCRQKTCSCRLYELLHGAGNHAAGILTL-NH2 (Disulfide bridge: Cys6-Cys12, Cys7-Cys14)

Peptide Structure

Orexin A (human, rat, mouse) 205640-90-0.png 

Molecular Formula

C152H243N47O44S4

Molecular Weight

3561.13

 

 

订购方式:

 

杭州固拓生物科技有限公司

 

手机: +86-15572296305 (同微信号)

 

QQ: 3187976021

 

邮箱:sales4@gotopbio.com

 

地址:杭州下沙经济技术开发区银海街60015501 310018




205640-90-0;食欲素A;Orexin A;多肽合成;

公司简介

公司介绍 杭州固拓生物科技有限公司成立于2014年,是一家专业从事多肽以及相关衍生物研发和生产的国家高新技术企业,也是中国生化制药工业协会多肽分会的理事单位。公司目前在杭州建有一个多肽研发中心,占地2000多平方米,浙江上虞和安吉有两个商业多肽合作工厂,拥有数条完善的多肽生产线, 数台大型的多肽合成设备,进口HPLC分析和制备设备,并配有GMP标准的洁净实验室。公司员工40多人,其技术骨干都是从事多肽行业15年左右,能独立自主开发多肽项目。目前公司已有成熟的药物多肽产品40多个,年产多肽可达100kg以上。定制多肽已累计达20000条,可以帮客户提供从研发级(mg)-中试-产业化生产(kgs)的一站式服务。 我们的产品和服务范围包括: 1.定制研发多肽,新抗原多肽定制合成 2.多肽原料药中间体的生产 3.多肽CRO和CDMO服务 4.化妆品多肽的生产及配方开发 5.特殊保护氨基酸以及小分子化合物合成 6.商品化多肽库的建立 7.新药研究开发的技术支持

成立日期 (13年)
注册资本 800万人民币
员工人数 50-100人
年营业额 ¥ 1000万-5000万
经营模式 工厂
主营行业 中间体,化学试剂,医药原料,原料药,氨基酸及其衍生物

Orexin A (human, rat, mouse)相关厂家报价

  • 促食素A
  • 促食素A
  • 江西瑞威尔生物科技有限公司 VIP
  • 2026-04-10
  • 询价
  • 促食素A
  • 促食素A
  • 江西瑞威尔生物科技有限公司 VIP
  • 2026-04-10
  • 询价
  • 促食素A
  • 促食素A
  • 绍兴市均宇生物科技有限公司 VIP
  • 2026-03-31
  • ¥88
  • 促食素A
  • 促食素A
  • 江西瑞威尔生物科技有限公司 VIP
  • 2026-03-20
  • 询价
内容声明
拨打电话 立即询价